В.А.Ацюковский.
Эфиродинамические основы гравитационных взаимодействий.
РАЕН. Секция ноосферных знаний и технологий.
М. «Галлея-Принт.
2018 г.


... ОТРЫВОК О ГРАВИТАЦИИ ...


 . . .

3. Эфиродинамические основы гравитационного взаимодействия

 

3.1. Термодиффузионные процессы в эфире как основа гравитационных взаимодействий тел

Как известно, гравитационные взаимодействия присущи любым телам, обладающим массой, и, следовательно, этот вид взаимодействия носит наиболее общий характер, сопровождая любые другие явления и взаимодействия, и поэтому гравитационные взаимодействия должны иметь в качестве физической основы не менее общий вид движения эфира. Таким наиболее общим видом движения эфира является диффузионное движение молекул эфира – áмеров.

Именно диффузионное движение сопровождает любые другие движения и состояния газовой среды, каковой является эфир. При этом диффузионное движение существует и при отсутствии других видов движения – поступательного, вращательного или колебательного. Следовательно, можно предположить, что наиболее распространенное движение эфира – диффузионное – и является основой наиболее распространенного вида взаимодействий – гравитационного.

Диффузионное движение есть хаотическое движение большого числа частиц, взаимодействующих путем упругих соударений, и оно не имеет смысла для отдельной частицы, для которой характерно в этом случае лишь поступательное движение в пространстве. Следовательно, гравитация как проявление диффузионного движения возможна лишь при наличии совокупности амеров. Это обстоятельство не было понято некоторыми исследователями творчества Демокрита, в частности Александром Афродийским и всеми последующими вплоть до современных, которые критиковали Демокрита за утверждение того, что атом (совокупность амеров) имеет тяжесть, а амер – часть атома – тяжести не имеет.

Гравитационное взаимодействие связано с веществом, и рассмотрение его природы целесообразно начать с анализа взаимодействия вещества и эфира на основе диффузионного движения.

Гравитационое взаимодействие тел, происходящее в результате термодиффузионного процесса в эфире, окружающем эти тела, следует рассматривать, в первую очередь, как следствие охлаждения эфира поверхностными слоями нуклонов, образующих ядра атомов. К этому добавляется охлаждение эфира также и всеми присоединенными вихрями – электронными оболочками и оболочками Ван-дер-Ваальса, но их вклад в гравитацию невелик в силу малости массы, а также в силу незначительности понижения ими температуры эфира по сравнению с нуклонами.

В результате охлаждения эфира поверхностями нуклонов в эфире возникает градиент температур и, как следствие, градиент давлений. Тело, попавшее в поле градиента давлений, начинает испытывать разность давлений эфира: со стороны тела, образовавшего градиент температуры, давление эфира будет меньше, чем с противоположной стороны. То же будет и со вторым телом. Тела начнут подталкиваться эфиром друг к другу (рис. 3.1).


Рис. 3.1. Механизм гравитационного взаимодействия тел:
изменение температуры и давления эфира вблизи гравитационной массы
и гравитационное взаимодействие двух масс

В недрах звезд непрерывно происходят ядерные реакции, сопровождающиеся образованием все новых нуклонов, перестройкой атомных ядер и электронных оболочек атомов, образованием нового вещества и непрерывным изменением температуры масс эфира, примыкающим к ним. Образование новых нуклонов сопровождается понижением температуры эфира, примыкающего к поверхностям вихрей, формирующихся в нуклоны, то же происходит с присоединенными к ним вихрями эфира – будущими электронными оболочками нуклонов, хотя и в существенно меньшей интенсивности, температура масс эфира в звездах непрерывно меняется, создавая пульсации температуры в окружающем вихри эфире. Эти пульсации температуры создают излучение, распространяющееся во все стороны со скоростью распространения гравитации. Скорость распространения гравитации есть скорость Первого звука v1 в эфире, которая, как и у всякого газа, связана со скоростью теплового движения амеров uТэ {молекул эфира) простым соотношением:

т. е. на 15 порядков выше скорости света.

Выше было показано, что частицы вещества представляют собой вихревые образования эфира. В вихревых же газовых образованиях температура газа всегда ниже температуры окружающей вихрь среды. Благодаря термодиффузионному процессу происходит теплообмен между вихрем и окружающей его средой. В результате теплообмена температура вихря должна непрерывно повышаться за счет притока тепла из окружающей вихрь среды, а температура окружающей вихрь среды должна снижаться. Таким образом, вокруг каждого вихря эфира имеет место неустановившийся термодинамический процесс. Время его завершения зависит от многих составляющих, в частности от отношения плотностей эфира в вихре и в свободном пространстве, от качества теплового контакта поверхности вихря и свободного эфира, от разности температур вихря и свободного эфира, от коэффициента теплопроводности среды и от некоторых других факторов.

 

Главным действующим лицом в создании гравитационных сил являются нуклоны – протоны и нейтроны, так как именно они являются максимально уплотненными вихрями эфира с минимальной температурой, следовательно, именно они являются главным отрицательным источником тепла, охлаждающим окружающий эфир, создающим в нем градиент температуры и тем самым градиент давления.

Сами нуклоны, обладая наивысшей плотностью и являясь цельными телами, подвержены воздействию градиента давления, другие вихревые образования – электронные оболочки, оболочки Ван-дер-Ваальса, струи эфира и т.п. – представляют собой проникающие структуры, к тому же имеющие малую удельную массу, влияние которых на гравитационные процессы не столь существенно.

Таким образом, для уяснения физической сущности гравитационного взаимодействия на данном этапе целесообразно остановиться на гравитационном взаимодействии только нуклонов.

Вокруг каждого протона температура снижается, и в окружающем пространстве возникает градиент температур эфира. Следствием градиента температур является градиент давлений эфира вокруг протонов.

Вывод распространения тепла в неограниченном пространстве приведен в работе [1, с. 447- 451].

Градиент температуры в трехмерном пространстве можно представить в следующем виде:

где q – мощность теплового источника,

При этом

Но градиент температур пропорционален общей мощности тепловых источников Q, поэтому

а мощность тепловых источников – протонов, заключенных в теле, пропорциональна массе тела, т.е.

так что в окружении тела, имеющего массу M, градиент температур составит:

Результирующая сила, действующая на протон, попавший в поле градиента температур первого протона, будет пропорциональна градиенту давления и объему вихря:

Эта сила не зависит от ориентации тела в пространстве, поскольку она определяется объемом тела и градиентом давления эфира.

Отношение температуры к давлению, так же как и отношение их градиентов в эфире в околосолнечном пространстве составляет

Гравитационная постоянная может быть выражена через параметры эфира и параметры протонов – первого p1, создающего в пространстве градиент температур, и второго p2, воспринимающего градиент давлений, созданного этим градиентом температур.

Из выражения Закона всемирного тяготения Ньютона следует, что

где G = 6,67·10–11 кг–1 м3 с–2 – гравитационная постоянная, mp1 и mp2 – массы первого и второго протона соответственно, V2 – объем второго протона, а gradP1 – градиент давлений в эфире, создаваемый первым протоном, r – расстояние между протонами, и учитывая соотношения

где k = 1,38·10–23 Дж·K–1 – постоянная Больцмана; ρэ = 8,85·10–12 кг·м–3 – плотность эфира; ma = 1,5·10–114 кг – масса амера; na = 5,8·10102 м–3 – количество амеров в единице объема эфира, получаем

здесь Rp1 – радиус первого протона; ρp2 – плотность второго протона.

Таким образом, гравитационная постоянная связывает параметры эфира, параметры протонов – создающего градиент температур в эфире и воспринимающего градиент давлений, созданный этим градиентом температур, и перепад температуры на поверхности первого протона, благодаря которому и создан в эфире градиент температуры.

Отсюда гравитационная сила взаимодействия между протонами может быть выражена как

Из полученного выражения видна физическая природа сил гравитации: пропорциональность числу амеров в единице объема эфира, радиусу первого протона, создающего градиент температур в эфире, объему второго протона, воспринимающего градиент давлений, созданный этим градиентом температур, и обратная пропорциональность квадрату расстояния между ними. Все приобрело простой физический смысл.

Сила, с которой протон, находящийся на поверхности небесного тела, притягивается к этому телу, равна

где mp = 1,6725 кг – масса протона; Mт и Rт – масса и радиус тела; Vp = 5,88·10–45 м3 – объем протона.

На поверхности небесного тела имеем ускорение силы тяжести g, и градиент давления эфира определится как

Здесь mэ – масса эфира в объеме V тела, его вытесняющего (аналог закона Архимеда для погруженного в среду тела), ρэ = 8,855·10–12 кг·м3 – плотность эфира.

Как известно, ускорение силы тяжести на поверхности Солнца равно g = 273,98 м·с–2; на поверхности Земли g = 9,81 м·с–2; на поверхности Луны g = 1,623 м·с–2. [2].

Соответственно имеем с учетом выражения 3.5:

Снижение давления на поверхности небесного тела составит:

и снижение температуры эфира на поверхности небесного тела составит:

Масса Солнца составляет МС = 1,99·1030 кг; радиус Солнца составляет RС = 1,392·109 м;

Масса Земли составляет МЗ = 5,976·1024 кг; радиус Земли составляет RЗ = 6,371·106 м;

Масса Луны составляет МЛ = 7,35·1022 кг; радиус Луны составляет RЛ = 1,737·106 м;

откуда падение давления и температуры эфира на поверхности составит:

Учитывая, что давление в невозмущенном эфире составляет 1,3·1036 Па, а температура составляет 10–44 К , видно, что гравитационный (термодиффузионный) вклад в изменение давления и температуры вблизи масс составляет ничтожную величину порядка 7·10–37.

Представляет интерес рассчитать гравитационное изменение давления и температуры эфира на поверхности протона.

Масса протона составляет mp = 1,67·10–27 кг, а радиус Rp = 1,12·10–15 м, откуда на поверхности протона ΔPэp = 8,8·10–34 Па; ΔТэp = 7,2·10–114 К; grad P = 7,14·10–19 Па·м–1; grad T = 5,85·10–99 К·м–1.

 

Градиент температуры в эфире связан с тепловым потоком уравнением Фурье:

где dQ/dt, Дж/с – поток тепла Q за единицу времени, КТ – коэффициент теплопроводности среды, равный для эфира 1,2·1089 м·с–3·K; S – площадь поверхности, нормальная к направлению потока тепла, через которую течет поток, в рассматриваемом случае – площадь поверхности протона, равная σp = 1,69·10–29 м2 .

Подставляя параметры, получаем

Запас же отрицательного тепла в протоне равен

Следовательно, постоянная времени нагрева протона за счет тепла окружающего его эфира составит:

т. е. за время существования протона, составляющего 10–20 млрд. лет, его нагрев за счет тепла окружающего эфира вследствие гравитационной составляющей будет совершенно ничтожным и может не учитываться при анализе устойчивости протона как вихревого образования.

По мере удаления от вихрей эфира – частиц вещества – температура эфира повышается до некоторого значения Т, характеризующего температуру эфира в свободном от вихрей пространстве, при этом градиент температуры эфира вблизи небесных тел на малых расстояниях уменьшается пропорционально квадрату расстояния, а на больших расстояниях уменьшается значительно быстрее.

Следует отметить, что в приведенных расчетах температуры эфира вблизи протона учтено только снижение температуры за счет массы, как если бы никакого другого движения эфира на поверхности протона нет, и показано, что этой составляющей нагрева протона можно пренебречь при определении его устойчивости. На самом деле, температура стенки протона значительно ниже, и градиент температуры многократно больше за счет высокой скорости движения потоков эфира на поверхности протона. Этот расчет приведен в [3, с. 205].

Таким образом, гравитационное поле получает трактовку, как поле градиента давления в эфире, вызванного градиентом температур, возникшим вследствие охлаждения эфира пограничными слоями нуклонов, что подтверждено численными расчетами. При этом получает естественное физическое содержание гравитационная постоянная, в которой отражены параметры нуклона, создаю­щего гравитационное поле, (масса), параметры другого нуклона, воспринимающего гравитационное поле (масса и объем или сред­няя плотность), параметры среды, содержащей гравитационное поле (коэффициент теплопроводности свободного эфира) и, нако­нец, энергетическое содержание процесса (тепловой поток). При дальнейшем уточнении закона гравитационного притяже­ния масс в первом приближении можно по-прежнему считать плотность свободного эфира ρэ = const, так как изменение плотно­сти является следствием изменения давления в среде, а в гравита­ционных явлениях взаимодействующие силы существенно малы по сравнению с силами других взаимодействий.

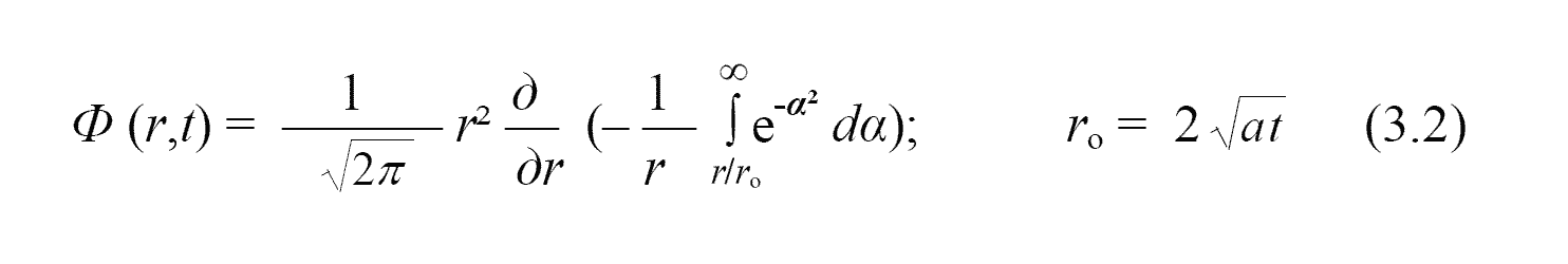
Подставляя значение gradТ и учитывая, что мощность теплово­го источника – всех протонов пропорциональна их числу и, следо­вательно, массе, получаем значение силы, действующей на массу со стороны температурного поля эфира, созданного другой мас­сой, [11]:

где значение Ф(r,t) исчисляется по формуле (5.89 (?? 3.2 ??)).

Таким образом, удалось впервые вывести статический закон гравитационного притяжения масс, не прибегая к аппроксимации экспериментальных данных, как это было сделано Ньютоном. Приведенное выражение практически предполагает мгновенное распространение гравитации (на самом деле скорость, распростра­нения гравитации превышает скорость света на 15 порядков), что подтверждает выводы Лапласа и в принципе соответствует расче­там небесной механики.

Полученное выражение отличается от известного закона Ньютона наличием в правой части затухающей функции Ф(r,t), кото­рая включает в себя интеграл Гаусса, почти не изменяющийся на относительно малых расстояниях и резко убывающий, начиная с некоторого расстояния. Этого вполне достаточно для разрешения известного парадокса Неймана-Зелигера [9], поскольку на боль­ших расстояниях силы убывают значительно быстрее, чем квадрат расстояния. Это значит, что гравитационные силы Солнца прости­раются не далее пределов двух-трех радиусов Солнечной системы и звезды, находящиеся на значительном расстоянии друг от друга, не притягиваются друг к другу, т.е. имеет место гравитационная изоляция звезд друг от друга.

В настоящее время установлено, что возраст старых пород ма­териковых плит составляет 5,5 млрд. лет. По приведенным ниже расчетам получено, что раскол остывшей поверхности Земли вследствие увеличения ее объема из-за поглощения ею эфира ок­ружающего пространства произошел порядка 3,75 млрд. лет тому назад, здесь можно отметить неплохое совпадение порядков вели­чин с геологическими данными. Учитывая, что гравитация факти­чески начала действовать ранее, когда звезда (Солнце) только что образовалась, следует увеличить значение времени до 7 млрд. лет, т.е. до t = 7·109·3,15·107 = 2,2·1017 с. Тогда значение r0 составит:

r0 = 2√аt = 2√4·109 · 2.2·1017 = 6·1013 м = 6·104 млн. км = 400 а.е.

(где а = 4·109 м2с–1 – коэффициент температуропроводности эфира,)

В таблице 3.1 приведены значения функции Ф(r/r0) от расстоя­ния от Солнца, выраженные в а.е. (астрономическая единица = 149,6 млн. км.)

Таблица 3.1.
r / r00,00,0250,050,10,20,51,02,03,0
R, а.е.0,0102040802004008001200
Ф(r/r0)10,980,940,890,780,480,170,0610–5

Таким образом, можно полагать, что расстояния в пределах де­сятка астрономических единиц лежат в пределах действия закона Ньютона. Отклонения от закона Ньютона, если бы они были суще­ственны, должны были бы сказаться в погрешностях при опреде­лении масс удаленных от Солнца планет и в погрешностях при определении параметров наиболее удаленной от Солнца планеты Плутон, поскольку эксцентриситет орбиты Плутона наибольший и составляет 0,25 (для Юпитера – 0,05; для Сатурна – 0,06; для Урана – 0,05; для Нептуна – 0,05 [10]). Однако известно, что именно орбита Плутона не укладывается в закон Кеплера, потому что Солнце не находится в фокусе эллипса его орбиты. Случайно ли?

Целесообразно напомнить, что в пределах до 10 а.е. находятся планеты Солнечной системы до Сатурна включительно (радиус орбиты Сатурна 9,539 а.е.), а в пределах до 20 а.е. расположены все планеты Солнечной системы, кроме Плутона. Последняя пла­нета Солнечной системы Плутон находится на расстоянии 39,75 а.е. от Солнца, и наблюдениями установлено, что для нее закон Ньютона уже соблюдается не точно. Учитывая, что ближайшая звездная система – Большая Центавра расположена от Солнца на расстоянии в 1,31 пс = 4·104 млрд. км, т.е. r/r0 = 1000, а остальные звезды еще дальше, можно с уверенностью полагать, что звезды не испытывают взаимного гравитационного притяжения и гравитационно изолированы друг от друга. Отсюда следует, что никакого «гравитационного парадокса», установленного в середи­не 19-го столетия немецкими учеными Нейманом и Зелигером, связанного с суммированием гравитационных потенциалов звезд в любой точке пространства, на самом деле в природе не существу­ет. Сам этот парадокс является следствием идеализации ньютонов­ского Закона всемирного притяжения, который не учел физиче­ской природы гравитационного взаимодействия и носит чисто ма­тематический характер.

Ожидаемым следствием отклонения закона притяжения тел от закона Ньютона является отклонение формы траектории комет от эллипсоидальной: ветви орбит комет: на удаленных от Солнца участках должны быть более разведенными, чем это было бы в случае точного соответствия закона притяжения закону Ньютона, и одна и та же комета должна появляться несколько позже, чем это предусмотрено точным законом Ньютона.

Все сделанные предположения о природе гравитации предпола­гают евклидовость пространства.

Целесообразно в связи с этим напомнить о некоторых экспери­ментальных данных, якобы свидетельствующих о неевклидовости пространства. К ним относятся, в частности, аномальность движе­ния перигелия Меркурия и отклонение света звезд около Солнца.

Как показано в [4, с. 41–43] при анализе результатов измерений должны быть учтены многие факты, чего практически никогда не делалось. Учет же этих факторов, на наличие которых указывали многие ученые, не позволяет считать полученные результаты под­тверждениями не евклидовости пространства.

Так, при истолковании смещения перигелия Меркурия, состав­ляющего по разным оценкам от 34 до 43 угловых секунд за столе­тие (!), не учитывался ряд фактов, каждого из которых в отдельно­сти вполне достаточно для объяснения этого явления, а именно:

1) несферичность Солнца, достаточно 1/1900 (по другим оценкам 5·10–5) сплющивания поверхности уровня Солнца (или подповерхностного слоя большей плотности, не наблюдаемого с Земли), чтобы полностью объяснить эффект;

2) вращение Солнца, приводящее к асимметрии гравитацион­ного поля;

3) нецентральность массы Солнца и неравномерность его плот­ности;

4) нецентральность вращения Солнца, поскольку и Солнце и его планеты вращаются вокруг общего центра масс;

5) наличие выбросов массы в виде протуберанцев и т.д.

При истолковании отклонения луча света звезд вблизи края Солнца по Эйнштейну должно быть 1,75″, по Ньютону – 0,84″ (разница на фотопластинке составляла не более 0,01 мм, что вы­звало серьезные трудности анализа), не были учтены следующие обстоятельства:

1) искажения в положении звезд в оптической части аппарату­ры;

2) засветка фотографической пластины короной Солнца, что вызывало искажения в желатине;

3) ненормальная рефракция в земной атмосфере благодаря хо­лодному воздуху внутри теневого конуса Луны;

4) рефракция в солнечной атмосфере.

5) наличие вихревого движения в воздухе в теневом конусе Лу­ны и т.п.

Кроме того, из всех возможных способов обработки результа­тов измерения выбирался лишь тот, который давал наиболее близ­кие к эйнштейновским показания.

Таким образом, экспериментальных данных, якобы подтвер­ждающих неевклидовость пространства, на самом деле не сущест­вует, реальное физическое пространство евклидово, что непосред­ственно вытекает из свойств общих физических инвариантов.

 

3.2. Скорость распространения гравитационного взаимодействия

В недрах звезд непрерывно происходят ядерные реакции, со­провождающиеся образованием все новых нуклонов. перестрой­кой атомных ядер и электронных оболочек атомов, образованием нового вещества и непрерывным изменением температуры масс эфира, примыкающим к ним. Образование новых нуклонов сопро­вождается понижением температуры эфира, примыкающего к по­верхностям вихрей, формирующихся в нуклоны, то же происходит с присоединенными к ним вихрями эфира – будущими электрон­ными оболочками нуклонов, хотя и в существенно меньшей ин­тенсивности, температура масс эфира в звездах непрерывно меня­ется, создавая пульсации температуры в окружающем вихри эфи­ре. Эти пульсации температуры создают излучение, распростра­няющееся во все стороны со скоростью распространения гравита­ции.

Таким образом, выражение для гравитационного взаимодей­ствия тел с учетом запаздывания гравитационного воздействия тел друг на друга приобретает вил

В известную форму закона Ньютона приведенное выражение превращается при Ф(r,t) = 1 и cг = ∞.

Скорость распространения гравитации есть скорость Первого звука v1 в эфире, которая, как и у всякого газа, связана со скоро­стью теплового движения амеров uТэ (молекул эфира) простым соотношением:

т.е. на 15 порядков выше скорости света.

Вся масса эфира при гравитационном взаимодействии между телами при этом остается в покое, и термодинамическое воздейст­вие распространяется между телами волновым способом.

Нижний предел скорости распространения гравитации был ус­тановлен П.С.Лапласом в 1787 г. [12] , т.е. тогда, когда скорость распространения света уже была хорошо известна. Исследовав причины векового ускорения Луны, Лаплас сделал вывод о том, что скорость распространения гравитации не менее чем в 50 млн. раз превышает скорость света. Учитывая, что весь опыт расчетов положения планет в небесной механике базируется на статической формуле Ньютона, подразумевающей бесконечность скорости распространения гравитации, следует считать и оценку Лапласа и нашу оценку более верной, нежели произвольная оценка Общей теории относительности Эйнштейна, постулирующей, что ско­рость распространения гравитации равна скорости света…

Следует отметить, что скорость распространения гравитации во всем мировом пространстве не может быть постоянной, по­скольку она зависит от температуры эфира, и, следовательно, вблизи гравитационных масс, где температура эфира ниже, будет также ниже и скорость первого звука, т.е. скорость распростране­ния гравитации.

Несмотря на большую величину, скорость распространения гравитации – скорость распространения первого звука в эфире, так же как и скорость света – скорость распространения второго звука в эфире, не является принципиально предельной. Учитывая, что движение амеров происходит не в пустоте, а в среде эфира-2, сле­дует полагать, что скорость перемещения частиц эфира-2 сущест­венно превышает скорость перемещения амеров – частиц эфира-1 или просто эфира. Соответственно скорости перемещения частиц эфиров более глубоких уровней организации материи существенно превышают скорости частиц эфиров предыдущих уровней органи­зации материи.

Как было показано выше, сущность гравитационного взаимо­действия тел заключается в создании нуклонами небесных тел градиентов температур эфира в межзвездном и межпланетном пространстве.

Это излучение было обнаружено пулковским астрономом Н.А.Козыревым в 1977 году с помощью созданной им оригиналь­ной методики, и созданной им оригинальной аппаратуры, правда, истолковано это явление Козыревым было не как новый неизвест­ный вид излучения. а как некое новое свойство времени, рассмат­риваемого им как некоторая самостоятельная сущность.

Для подтверждения своей концепции Н.А.Козырев разработал необходимые методики и создал оригинальную аппаратуру, для определения истинного положения звезд на небосводе.

У Н.А.Козырева нашлось немало последователей, некоторые из них не только восприняли его точку зрения на категорию вре­мени, как самостоятельную физическую субстанцию, способную синхрнизировать все космические процессы и способную рождать энергию, но и поставили соответствующие эксперименты, резуль­таты которых, по их мнению, подтверждают справедливость по­ложения, выдвинутого Н.А.Козыревым о свойствах категории времени, как самостоятельной физический субстанции.

Тем не менее, далеко не все ученые разделяют концепцию Н.А.Козырева, считая ее идеалистической, абстрактно-математи­ческой и не имеющей отношения к реальной природе, указывая, что любой эксперимент может иметь не одну, а множество тракто­вок, включая и те, конечно, которыми руководствовался автор эксперимента, если результаты оказываются соответствующими задуманному. Поэтому в последние годы стали появляться статьи, учитывающие результаты козыревских экспериментов, но имею­щие иную, материалистическую трактовку. Статья самого Н.А.Козырева и его соавтора В.В.Насонова приведена в этой книге.

Материалистической трактовке полученных Н.А.Козыревым и его последователями результатов проведенных ими эксперимен­тов, придерживается и автор настоящей книги, не только предла­гающий эфиродинамическую трактовку результатов проведенных экспериментов, но и указывающий на возможность их прикладно­го применения. Из эфиродинамической трактовки вытекает, что полученные результаты свидетельствуют вовсе не о том, что кате­гория времени является самостоятельной физической субстанцией, а о том, что в природе существуют способы передачи возмущений на скоростях, превышающих скорость света на 15 (!) порядков. По мнению автора книги это есть скорость Первого звука в эфире – продольного распространения возмущений температурного гради­ента, создаваемого в эфирной среде космическими объектами – звездами и планетами при ядерных преобразованиях вещества их составляющих. Для дальнейшего развития теории целесообразно это новое направление сверхсветовой трансляции возмущений обозначить термином «эфироакустика» (термин предложен инже­нером-исследователем М.А.Суриным), как фундаментального на­правления космогонии, подлежащего дальнейшему развитию в теоретическом и экспериментальном направлениях.

Для того чтобы читатель мог лучше представить о сути прове­денных Козыревым и его последователями экспериментов, ниже приведены фрагменты из некоторых статей самого Н.А.Козырева его последователей, несколько изменивших постановку и методи­ку проведения экспериментов, в основном, в части приемной час­ти – детектора, выполненным в виде четырехрезисторного мостика Уинстона

Ниже приводятся фрагменты некоторых статей Н.А.Козырева и его последователей, поддерживающих трактовку Козырева о ка­тегории времени, как самостоятельной физический субстанции, и фрагменты, статьи В.В.Балыбердина и его соратников, всячески одобряющих проведение Козыревым и его соратников экспери­ментальных работ, но имеющих другую, материалистическую по­зицию в трактовке полученных результатов.

В конце приведенных фрагментов статей приводится общий комментарий, в котором дается высокая оценки проведенным экс­периментам, но отрицается их идеалистическая трактовка, и пред­лагаются направления дальнейшего исследования в прикладных целях.

Поскольку автор настоящей книги В.А.Ацюковский никак не может согласиться с козыревской трактовкой времени, как само­стоятельной субстанции, он вынужден напомнить, что любое при­родное или рукотворное явление может иметь множество интер­претаций. Автор книги предлагает читателям свой комментарий козыревскому эксперименту, основанный на эфиродинамической концепции мироздания.

Что касается поперечных волн, распространяющихся со скоро­стью Второго звука, то в газе никаких поперечных волн существо­вать не может, и если в фотоне или других структурах обнаружи­ваются поперечные движения, то это значит, что это не волновые, а вихревые структурные системы.

 

3.3. Поглощение эфира гравитационными массами

Наличие в окружающем гравитационную массу пространстве градиента давления эфира приводит к тому, что и сам эфир начи­нает под его воздействием смещаться в сторону гравитационной массы и поглощаться ею. Поскольку гравитационными массами являются все тела, то все они поглощают эфир из окружающего пространства, в результате чего их масса увеличивается. Такое увеличение массы происходит относительно медленно, незаметно, особенно на фоне других процессов, однако для крупных тел эти изменения не только замечены, но даже и измерены. Предположе­ние о расширении Земли за счет поглощения эфира было высказа­но еще Ярковским [5].

Следует отметить, что увеличение массы Земли со временем есть реальный факт, и он не может быть объяснен, например, та­кими процессами, как ассимиляция лучевых, корпускулярных и метеорных потоков: Гусаровым [6] показано, что за счет этих фак­торов в течение 5 млрд. лет Земля могла увеличить свою массу не более чем на 3∙10-7 части ее современной массы. Поглощение же эфира массой Земли полностью объясняет ее расширение.

Поглощенная масса космического эфира может быть усвоена Землей тремя способами: как образование нового вещества, меха­низм чего в настоящее время не ясен; как наращивание массы ка­ждого нуклона и электронных оболочек атомов, что более очевид­но; как накопление масс эфира, которые затем перемещаются внутри земных пород.

Увеличение массы Земли должно сказаться и на непрерывном увеличении суток. Установлено, что сутки в самом деле увеличи­ваются на 0,0024 с за столетие. В настоящее время это увеличение суток отнесено за счет торможения вращения Земли приливными течениями, однако, такое объяснение представляется не полным.

Проведенные рядом ученых исследования показали, что при­мерно 2–2,5 млрд. лет назад Земля имела существенно меньший объем, океаны отсутствовали, а все современные материки были слиты воедино и образовывали общую твердую оболочку Земли – земную кору. Установлено также движение материков друг от друга.

Как показано в работах В.Ф.Блинова [7], можно считать твер­до установленным факт равномерного расширения Земли, резуль­татом этого стал отрыв материков друг от друга. Расширение по­верхности Земли в настоящее время происходит в стороны от океанических рифтовых хребтов – Северо- и Южно­Атлантических, Западно-Индийского, а также Австрало­Антарктического, Южно- и Восточно-Тихоокеанских поднятий (рис. 3.2).

Если бы отсутствовала субдукция – подползание океанической коры под материки, то в соответствии с расчетами В.Ф.Блинова можно было бы полагать, что изменение радиуса Земли составляет в настоящее время примерно ∂R/∂t = 1,08 см/год. Однако по дан­ным некоторых исследований [8, 9] на дне океанов не находится коры, возраст которой превышал бы 200 млн. лет. Сопоставление этого возраста с возрастом коры материков заставляет признать факт наличия субдукции. Однако субдукция не может компенси­ровать спрединг – раздвигание материков полностью.


Рис. 3.2. Система океанических рифтовых хребтов Земли:
1, 7 – Восточ­но-Тихоокеанское поднятие; 2 Северо-Атлантический хребет; 3 – Южно­Атлантический хребет;
4 – Западно-Индийский хребет; 5 – Австрало- Антаркти­ческое поднятие; 6, 8 – Южно-Тихоокеанское поднятие

Поскольку минимальный возраст коры материков оценивается в 2 млрд. лет, можно предположить, что именно в это время про­изошло разделение материков и, следовательно, 2 млрд. лет тому назад поверхность Земли составляла всего 1/3 всей теперешней поверхности Земли (поверхность океанов сейчас составляет 2/3 всей поверхности Земли).

Полагая, что средняя плотность Земли сохраняется постоянной (допущение произвольное, однако не существенно влияющее на конечный результат), вычислим постоянную времени изменения массы Земли и других планет Солнечной системы.

Определим скорость вхождения эфира в небесное тело (рис. 3.3).


Рис. 3.3. К определению скорости поглощения эфира гравитационной массой

Приращение длины столба эфира падающего на небесное тело из мирового пространства может осуществляться только за счет разности ускорений на элементе длины столба газа, измеренного в радиальном по отношению к небесному телу направлению, т.е.

Следовательно,

Так как

то

Площадь поверхности шара радиусом r составляет S = 4πr², и, следовательно, объем слоя газа толщиной Δl равен:

Отсюда следует, что эфир падает на небесное тело, не меняя сво­его объема, не претерпевая никаких адиабатических изменений, т.е. как твердое тело из бесконечности. А это означает, что эфир входит в тело со второй космической скоростью, равной

Для Земли vII = 11,18 км/с.

Следует обратить внимание на тот факт, что для любого не­бесного тела величина

и удельный прирост массы в небесном теле пропорционален вели­чине

Это означает, что по мере увеличения средней плотности не­бесного тела ρт относительный рост его массы за счет поглощения эфира уменьшается.

Из изложенного следует, что постоянные времени небесных тел близки между собой и составляют примерно 3–4 млрд. лет. Это означает, что в рамках исходных предпосылок – постоянства плотности Земли и постоянства плотности эфира в околоземном пространстве, а также неизменности гравитационной постоянной (весьма условно) – можно полагать, что за 3,75 млрд. лет масса Земли увеличивается в е раз.

Итак, увеличение массы Земли составляет

Предположив, что удельная масса Земли (5518 кг/м3) сохраня­ется постоянной, получим

Приращение массы и объема на единицу длины рифтового хребта составляет соответственно

Исходя из того, что среднее расстояние от осей рифтовых хребтов до берегов материков составляет 3 тыс. км, а возраст по­род морского дна у берегов 200 млн. лет (по осям рифтовых хреб­тов возраст пород не превышает 10 млн. лет, возраст пород моно­тонно увеличивается от осей хребтов к берегам), находим скорость перемещения пород от осей хребтов к берегам

vп = 3·106 / 2·108 = 1,5·10–2 м/год = 4,75·10–10 м/с.

и приращение площади

Однако Стейнером [10] показано, что средняя глобальная скорость приращения площади океанов составляет за последние 5 млн. лет 3,19 км2/год. Исходя из данных Стейнера, получаем, что если бы площадь океанов расширялась только за счет расширения объема Земли, Земля должна была бы расширяться со скоростью 2 см/год, однако приращение радиуса Земли Rз за счет поглощения эфира составляет всего

Такое расхождение данных может быть отнесено за счет не столько неверности измерений, сколько за счет неравномерности процесса расширения Земли во времени, например накопления напряжений в породах, а затем относительно быстрого их сбрасы­вания.

Таким образом, если факт раскола материков может быть объ­яснен наращиванием массы и объема Земли в связи с поглощением эфира космического пространства, то и спрединг, и субдукция нужно относить в большей степени за счет перемещения магмати­ческих подкорковых пород, которое также может являться следст­вием накопления массы, а отсюда и наращивания напряжений из-за все того же поглощения эфира космического пространства (рис. 3.4, а) [11].

Рассмотренный механизм расширения Земли может в какой-то степени пролить свет на причины горообразования (рис. 3.4, б).


Рис. 3.4. Расширение Земли:
а – поглощение эфира Землей; б – один из меха­низмов горообразования

В момент раскола материки имели внутренний радиус, соот­ветствовавшей радиусу Земли порядка 2 млрд. лет тому назад. С течением времени материки, сохранившие этот радиус, оказались на поверхности Земли увеличенного радиуса, что неизбежно при­вело к появлению напряжений в материковых плитах и далее – к горообразованию. Можно предположить, что Памир сложен из более древних пород, чем равнина, поэтому там сохранилось об­щее поднятие и прошло более интенсивное горообразование. Из­ложенный механизм горообразования не является единственным. Кордиль­еры, протянувшиеся вдоль всего западного берега Север­ной и Южной Америк, произошли иначе. Здесь имеет место не подползание океанического дна под материк, а его наползание на берег. Именно этим можно объяснить наличие бывшего океанско­го дна на высотах в несколько километров. Это означает, что по­роды западного склона Кордильер должны быть моложе пород восточного склона, причем, чем ближе к океану, тем породы должны быть моложе. В принципе, это не так трудно проверить.

Поглощение эфира производится всеми небесными телами. В табл. 3.2. приведены расчетные данные увеличения массы небес­ных тел за счет поглощения ими эфира космического пространст­ва.

Таблица 3.2.
Небесное телоМасса, кгПлощадь поверх­ности, м2VII, м/сΔМ/Δt, г/сΔМ/МΔt, с-1
Солнце1,99·10306,08·10186,18·1053,32·10131,67·10-17
Меркурий3,24·10237,15·10134,3·1032,72·1068,4·10-18
Венера4,86·10244,8·10141,04·1044,45·1079,15·10-18
Земля5,97·10245,1·10141,12·1045,05·1078,45·10-18
Марс6,39·10231,42·10145,1·1036,4·1061·10-17
Юпитер1,9·10276,16·10166,08·1043,3·10*1,75·10-17
Сатурн5,68·10264,19·10163,68·1041,36·10*2,4·10-17
Уран8,73·10257,3·10152,22·1041,43·1091,65·10-17
Нептун1,03·10266,5·10142,48·1041,43·1091,38·10-17
Плутон5·1022 ?5,07·1014 ?3·104 ?1,35·107 ?2,7·10-18 ?

Существуют еще два следствия поглощения эфира Землей: это эфирные выбросы, приводящие к образованию комет, и так назы­ваемые геопатогенные зоны – истечения эфирных струй [].

Образование комет осуществляется всеми планетами, так же как, вероятно, и образование геопатогенных зон. Но если образо­вание мелких комет происходит относительно незаметно, то обра­зование крупных – это событие планетарного масштаба, сопрово­ждающееся выбросом в космическое пространство больших масс вещества. К счастью, это бывает весьма редко, вероятно, не чаще, чем один раз в несколько миллионов лет.

Что касается геопатогенных зон, то это явление повсеместное. Две–три зоны диаметром менее метра находятся практически в каждом доме и в каждой квартире. Эти зоны представляют собой струи завинтованного и завихренного эфира, истекающие из тела Земли. Такие струи пронизывают насквозь многоэтажные дома и весьма отрицательно сказываются на самочувствии людей, а ино­гда приводят к полной потере здоровья и даже к смерти. Эти зоны с помощью проволочных рамок легко обнаруживаются оператора­ми биолокации (лозоходцами). Обычная рекомендация в таких случаях – переставить мебель так, чтобы не находиться в этих зо­нах долго, – убрать из них все рабочие и спальные места, но, к со­жалению, это не всегда возможно.

В настоящее время найден простой и эффективный способ де­структурирования таких потоков с помощью проволочных сеток. Вихревые потоки разрушаются, и хотя в теле Земли источник этих потоков продолжает существовать, организованного завихренного потока он уже создать не может.

 

3.4. Проблемы антигравитации

Возможность противостояния силам гравитационного притя­жения волнует умы фантастов и ученых много веков. Было прове­дено множество экспериментов с попыткой экранирования сил тяготения и даже создания сил антитяготения на тех же физиче­ских принципах (левитация), но ни одна из попыток экранирова­ния успехом не увенчалась, а некоторые попытки левитации ока­зались успешными. Правда, утверждать, что эти успешные попыт­ки базировались на тех же принципах, что и сама гравитация, ос­нований нет. А физические основы принципов левитации живых организмов, даже отдельных людей (йогов) не поняты до сих пор

Поэтому целесообразно рассмотреть возможность противосто­ять гравитации с позиций эфиродинамических представлений представляет определенный интерес.

Создать антигравитационные силы на основе принципов гра­витации вряд ли возможно, потому что для этого нужно научиться создавать в эфире термодинамические градиенты противополож­ного знака, а в основе любого вещества находятся нуклоны, т.е. вихревые образования эфира, поверхность которых всегда на мно­го порядков холоднее, чем температура свободного эфира. Это происходит потому, что при своем образования эфирные вихри отбирают тепловую энергию у окружающего эфира, тем самым охлаждая его, и исключений здесь нет. Однако это не означает, что нельзя создать антигравитационные силы, опираясь на иные прин­ципы, что давно достигнуто и природой (птицы и насекомые), и техникой (летательные аппараты). Правда, никому в голову не приходит назвать их антигравитационными, к тому же, подавляю­щее число их опирается на воздух (подъемная сила) , но некоторые опираются на силу отталкивания от выхлопных газов (ракеты), а некоторые насекомые, например, майские жуки, опираются на не­понятно что и, тем не менее летают.

 . . .


... конец отрывка ...


Литература

1. Тихонов А.Н и Самарский А.А. Уравнения математической физи­ки. М.: Наука. 1966. Глава 6. Распространение тепла в пространстве.

2. Куликовский. Н.П. Справочник любителя астрономии. 3 изд. М.: Физматгиз. 1961.

3. Ацюковский В.А. Общая эфиродинамика. 2-е изд. М.: Энерго­атомиздат. 2003. Глава 4.

4. Ацюковский В.А. Критический анализ теории относительности. 2-е изд. РАЕН. М.:Научный мир. 2012. с.. 53.

5. Ярковский И.О. Всемирное тяготение как следствие образова-ния весомой материи внутри небесных тел. Кинематическая гипотеза. М.: Тип. лит. т-ва Кушнерова. 1912

6. Гусаров В.И. Взаимопревращаемость полей и вещества – единый процесс существования, движения

7. Блинов В.Ф. О проблеме возможного роста Земли// Геофиз. Сб. АН УССР. 54. Киев: Изд-во АН УССР. 1973. С. 85. Он же. Расширение Земли или новая глобальная тектоника?// Геофиз. Сб. Киев: Изд-во АН УССР, 1977. Вып. 80. С. 76–85.   Он же. Развитие Тихого океана по дан­ным изучения седиментации и магнитных аномалий// Геол. ж., 1977. 2. С. 82–90.   Он же. Наша Земля збильшуется?// Наука и суспильство. № 6. 1979. С. 41–44.

8. Удинцов Г.Б. Рифтовые зоны океанов// Наука и человечество. М.: Знание, 1969.

9. Чудинов Ю.В. Расширение Земли как альтернатива новой гло­бальной тектонике// Геотектоника. 1976. Т. 4. С. 16–36.

10. Steiner J. An expanding Earth on the masis of seafloor spreading and subduction rates. Geology/ 1976/ Vol. 5. № 5. P. 313–318/

11. Carey S.W. Theories of the Earth and Universe. A History of Dogma in the Earth Sciences. Stanford, California, 1988. ( доступна в переводе )

12. Лаплас П.С. Изложение системы мира в 2-х томах. СПб. 1861.


В начало библиотеки VVU