Глава 1. Что такое электричество?
1.1. Краткая история становления теории электромагнетизма
1.2. Размерности физических величин и их роль в физике
1.3. Единицы электрических и магнитных величин в системе МКС
Глава 2. Эфиродинамические основы структуры вещества
2.2. Структура протона, нейтрона и атома водорода
2.3. Сильное ядерное и электромагнитное взаимодействия протонов
2.4. Химические взаимодействия
2.5. Ковалентные связи и хемодинамическое взаимодействие
2.6. Металлическая связь и физическая сущность электро- и теплопроводности металлов
Глава 3. Эфиродинамическая сущность электричества
3.1. Структура свободного электрона
3.2. Физическая сущность электрического поля
3.3. Свободный электрон в электрическом поле
3.4. Физическая сущность электрического тока в металле
3.5. Конденсатор (электрооемкость)
Глава 4. Эфиродинамическая сущность магнетизма
4.1. Эфиродинамическая сщность магнитного поля
4.2. Свободный электрон в магнитном поле
4.3. Индуктивность. Механизм явления самоиндукции
4.4. Электромагнитная индукция
Глава 5. Физическая сущность электромагнитных взаимодействий
5.1. Взаимодействие проводников
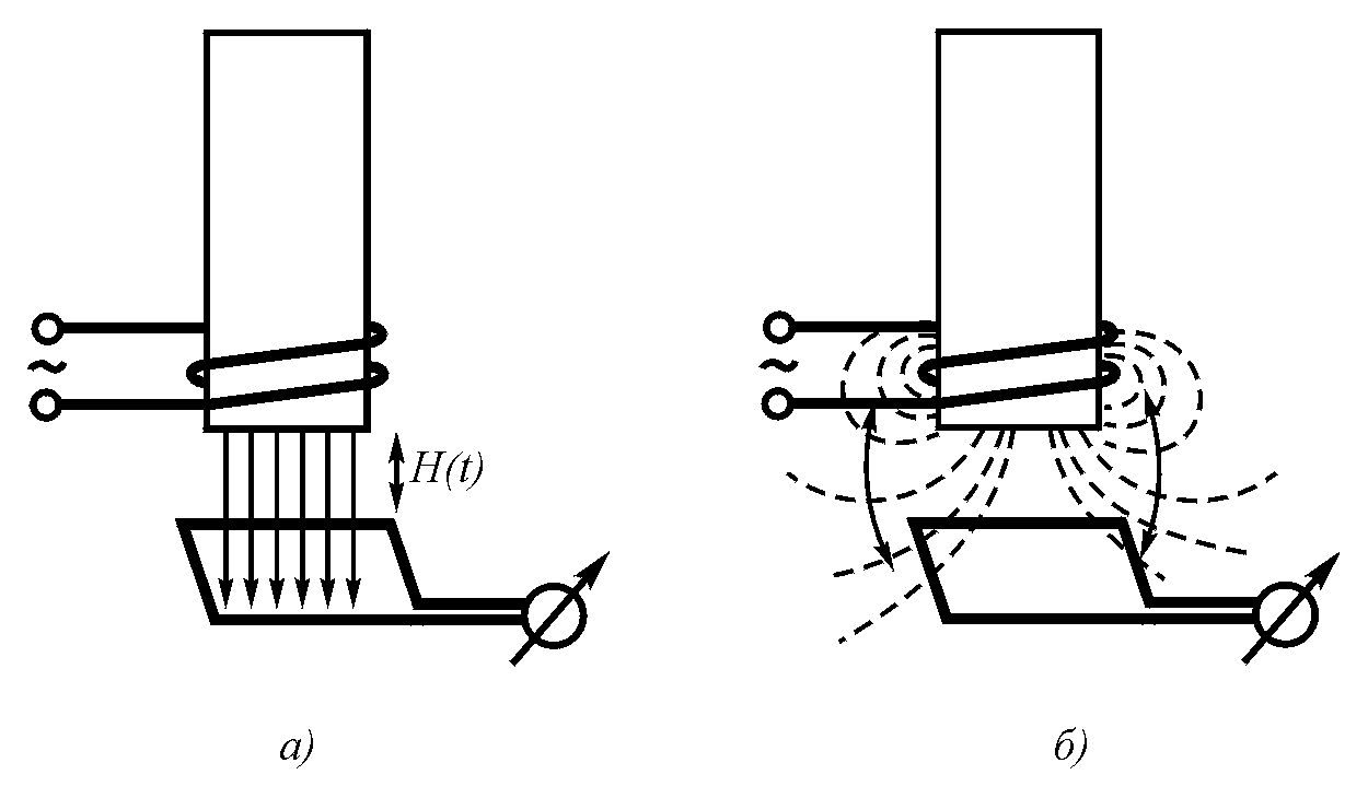
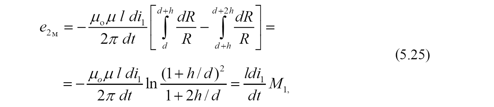
5.2. Электрический трансформатор
5.3. Силовое взаимодействие проводников с током
5.4. Взаимодействие постоянного тока и магнита
5.5. Взаимодействие постоянных магнитов
Глава 6. Электромагнитное поле
6.1. Уравнения Максвелла и их ограниченность
6.2. Некоторые уточнения уравнений электродинамики
6.3. Распространение электрических волн в полупроводящей среде
6.4. Распространение токов растекания в пресной и морской воде
6.5. Продольное распространение электрических волн в морской воде
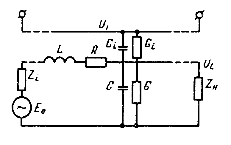
Приложение. Обеспечение помехоустойчивости проводных связей
Памяти выдающегося английского ученого Джеймса Клерка Максвелла посвящается
В настоящей работе впервые за много лет существования теории электромагнетизма предпринята попытка осознания физической сущности электромагнитных величин и электромагнитных явлений. Это стало возможным лишь после разработки автором теории эфира – эфиродинамики на основе представлений о существовании в природе газоподобного эфира – физической среды, заполняющей все мировое пространство и являющейся строительным материалом для всех видов вещества и фундаментальных силовых полей взаимодействия, включая ядерные, электромагнитные и гравитационные.
На основе эфиродинамических представлений в работе показана неполнота уравнений Максвелла и разрешены некоторые накопившиеся в теории электромагнетизма парадоксы.
В работе произведен перевод основных электромагнитных величин из системы единиц МКСА в систему МКС и показано, что все электромагнитные явления сводятся к механическим понятиям, это является продолжением и развитием кинетической теории материи, основанной в науке Л.Больцманом и продолженной Дж.Дж.Томсоном, а в нашей стране профессором МГУ А.К.Тимирязевым и академиком В.Ф.Миткевичем.
На основе эфиродинамиеских представлений впервые введены и экспериментально подтверждены явления продольного распространения высокочастотных электрических волн в поверхностном слое полупроводящей среды (морской воды), что многие годы было признано принципиально невозможным, т.к. не соответствует уравнениям Максвелла, а также взаимоиндукция проводников (не контуров), что сыграло существенную роль в построении систем информационных связей на подвижных объектах, закрепленных ГОСТом и используемых ныне в авиации всего мира. Эфиродинамические основы некоторых других положений также были проверены экспериментально, что позволило получить результаты, существенно отличающиеся от общепринятых.
Произведенные уточнения теории электромагнетизма ни в коем случае нельзя считать завершенными хотя бы потому, что любая научная теория никогда не может быть завершена, ибо всегда будут находиться все новые обстоятельства, требующие осознания. В данном случае полезно вспомнить работы Николы Тесла, многочисленные патенты которого известны, но, несмотря на то, что им были созданы работающие образцы, теория их не была доведена до научной общественности, и в результате этого за прошедшие сто лет они не были воспроизведены никем.
Поэтому проведенную автором работу по уточнению теории электромагнетизма нужно считать всего лишь началом нового этапа в развитии этой теории, приглашением новых авторов к дальнейшим ее разработкам.
Лабораторные исследования, результаты которых изложены в главах 4 и 5, были на протяжении 1970-1985 гг. проведены в лаборатории 91 Филиала Летно-исследовательского института (с 1982 г. той же лабораторией № 34 НИИ авиационного оборудования) в г. Жуковском Московской области. Натурные исследования по продольному распространению электрических высокочастотных волн были проведены сотрудниками этой же лаборатории с 1964 по 1986 гг. с выездом сначала на пресные водоемы (Кратовское и Медвежье озера и Москва-река в Московской области), а затем с выездом на Черное море: Севастополь – 6-й причал, Феодосия – Тонкий Мыс, Геленджик – бухта, Приморское – пирс. Результаты последних работ на Черном море были предъявлены специально созданной Комиссии ВВС, что зафиксировано соответствующим Актом. Материалы исследований использованы при проведении работ, заданных Постановлениями Правительства СССР, в которых автор являлся Ответственным исполнителем, и закреплены соответствующими актами Межведомственных Комиссий, Государственными стандартами (ГОСТами) и Руководящими техническими материалами авиационной техники.
– Что такое электричество? – спросил профессор.
– Я знал, но забыл, – ответил студент.
– Какое несчастье! – воскликнул профессор. – Никто в мире не знает, что такое электричество. Один человек знал, и тот забыл! Когда вспомните, расскажите, пожалуйста, нам, мы тоже хотим это знать!
Старый анекдот
«Эфирная теория… дает надежду выяснить, что является собственно субстратом электрического движения, что собственно за вещь вызывает своими движениями электрические явления».
Ф.Энгельс [1]
Как известно, развитие теории электромагнетизма прошло этапы:
На базе многочисленных опытных данных были разработаны методы расчетов, позволившие точно рассчитать силовые и слаботочные устройства и агрегаты, линии передачи и электрические цепи. А в ХХ столетии на базе полученных к этому времени знаний были созданы важнейшие отрасли современной промышленности – электромашиностроение, радиотехника и электроника, без которых немыслимо существование современного человечества. Положение о том, что «нет ничего более прикладного, чем хорошая теория», полностью себя оправдало на практике.
Учение об электричестве и магнетизме нашло воплощение в единой теории, получившей название электродинамика и объединяющей электрические и магнитные явления. Ни у кого нет сомнения в том, что именно эта область науки обеспечила развитие многих областей прикладной науки и промышленности. Достижения теоретического, а самое главное, прикладного плана столь величественны и настолько органично связаны с самой теорией электродинамики, что практически ни у кого не возникает сомнений в верности всех ее положений. Такие основополагающие разделы теории, как законы Ома, Кирхгофа, Ампера, Фарадея, уравнения Максвелла, теорема Гаусса и многие другие, получили всестороннюю проверку жизнью и поэтому заслужили всеобщее признание. В связи с этим любые сомнения, связанные с каким-либо фундаментальным положением электродинамики, специалистами отметаются даже без рассмотрения. Все эти положения давно приобрели силу догматов, и сама постановка вопроса об их неполноте вызывает раздражение, поскольку в электродинамике, а отсюда и в электротехнике все ясно.
Тем не менее, в теоретических основах электромагнетизма накопилось множество недостатков, главным из которых является полное непонимание физической сущности электричества и электромагнитных явлений. Электрический заряд считается как бы врожденным свойством заряженных частиц, а сами электрические частицы не имеют никакой структуры и никакого строительного материала, они даже не имеют четкого размера. Не определена также и физическая сущность электрического и магнитного полей. Термин «поле – особый вид материи» ничего не объясняет и сводит всего лишь непонятное к неизвестному.
В теории электромагнетизма накопилось множество парадоксов, например, энергетический парадокс частиц: поскольку они не имеют размера, хотя имеют магнитный момент и заряд, то их энергия должна быть бесконечно большой.
Имеющиеся на сегодня теоретические знания в области электротехники позволили разработать методы расчетов электрических и магнитных устройств и систем, используя которые разработчики создали все эти устройства и системы, попрежнему не представляя физических основ их работы. Тем не менее, обширная положительная практика создала впечатление о законченности науки электромагнетизма, об ее совершенстве. Это особенно относится к уравнениям электродинамики, разработанным Дж.К.Максвеллом во второй половине 19-го столетия [2]. Эти уравнения оказались столь хороши и на их основе создано так много всего, что у электриков и радиотехников сложилось мнение об их совершенстве, полноте и законченности. Однако следует заметить, что любые уравнения отражают только малую часть всех свойств модели любого явления, а сама модель, давшая жизнь уравнениям, тоже отражает свойства явления частично, и исключений здесь нет [3]. Поэтому и уравнения Максвелла отражают лишь часть свойств той модели, которую Максвелл разработал для электрических явлений, а его уравнения отражают лишь часть свойств этой модели. Отсюда уточнение уравнений электродинамики на базе уточненных моделей должно стать обычным рабочим делом и не должно вызывать отторжения [4].
Как объяснить наличие парадоксов в электродинамике? Правда, не все специалисты признают их наличие, поэтому нужно приводить примеры.
Рассмотрим такой случай. Два одинаковых заряда находятся на некотором расстоянии друг от друга. Они испытывают отталкивание друг от друга по закону Кулона:
Теперь заставим эти два заряда двигаться вместе, сохраняя постоянным расстояние между ними. Тогда они становятся токами и испытывают притяжение по закону Ампера:
Но ведь относительно друг друга эти два заряда остались неподвижными, что же теперь заставило их притягиваться? Это не выдумка. Электронные лучи в трубке не разбрасываются, хотя в них перемещаются одинаково заряженные частицы – электроны, в каждом сечении луча неподвижные относительно друг друга.
Рассмотрим еще один случай
Если в проводнике имеется э.д.с., например, электрическая батарея, то, пока проводник разомкнут и ток в нем не течет, на концах проводника имеется напряжение, равное этой э.д.с. Если концы проводника соединить, то в момент замыкания проводника на участке замыкания в первый момент имеется полное напряжение, хотя этот участок не имеет длины. Это значит, что в момент замыкания в этом месте имеется нулевое сопротивление и, следовательно, должен быть всплеск тока до бесконечно большого значения.
Но ведь по законам Кирхгофа ничего подобного не может быть!
Что же это за процесс, как его описать, как он вытекает из «универсальных, пригодных на все случаи жизни», уравнений Максвелла?
Помимо парадоксов, в электродинамике имеются еще и случаи, когда теория предсказывает одно, а при детальных и тщательных измерениях получаются результаты, отличающиеся от теоретических в несколько раз. Оказалось, например, что широко используемый Закон полного тока
который является следствием первого уравнения Максвелла, никогда не подвергался сомнениям и поэтому не проверялся экспериментально. Во всяком случае, в литературе не содержится сведений об его экспериментальной проверке. Поставленные же эксперименты не подтвердили строгого соответствия выполнения этого закона.
Из закона вытекает, что убывание магнитной напряженности Н должно идти по гиперболическому закону:
где r – расстояние от центра проводника с током. А на самом деле оказалось, что такая зависимость справедлива только для малых напряженностей магнитного поля. При токах, составляющих всего десятые доли ампера, имеются существенные отклонения от этого закона, и они тем больше, чем больше ток.
Дж.К.Максвелл получил свои знаменитые уравнения электромагнитного поля в период 1856—1862 гг., а всю теорию электромагнетизма изложил в «Трактате об электричестве и магнетизме», вышедшем в свет в 1873 г.
Опираясь на эти уравнения немецкий физик Генрих Герц в 1886—1889 гг. экспериментально доказал существование электромагнитных волн и исследовал их свойства – отражение от зеркал, преломление в призмах и т. д.
Электромагнитные волны Герц получал с помощью изобретенного им вибратора. Это был медный стержень с металлическими шарами на концах, в разрыв которого (искровой промежуток) включалась катушка Румкорфа. Наименьший из применявшихся Герцем вибраторов имел длину 26 см, в нем возбуждались колебания с частотой порядка 5·108 Гц, что соответствует длине волны 60 см.
Герц подтвердил выводы максвелловской теории о том, что скорость распространения электромагнитных волн равна скорости света, и установил тождественность основных свойств электромагнитных волн и света.
Развивая теорию Максвелла, Герц придал уравнениям Максвелла симметричную форму, которая хорошо обнаруживает полную взаимозависимость между электрическими и магнитными явлениями.
Работы Герца по электродинамике сыграли огромную роль в развитии науки и техники и обусловили возникновение беспроволочной телеграфии, радиосвязи, телевидения, радиолокации и т. д.
После опубликования работ Герца в 1888 г. русский физик А.С.Попов, преподаватель физики и электротехники Минного офицерского класса и Технического училища в Кронштадте, в дальнейшем директор Петербургского электротехнического института, стал изучать электромагнитные волны и создал в начале 1885 года «Прибор для обнаружения и регистрации электромагнитных колебаний».
25 апреля (7 мая) 1895 г. на заседании физического отделения Русского физикохимического общества Петербурга Попов сделал научный доклад об изобретенной им системе связи без проводов и продемонстрировал работу созданной им аппаратуры. В 1897 г. он достиг дальности устойчивой связи в 5 км и предложил способ пеленгации работающего передатчика. В 1900 г. аппаратура Попова была использована во время работ по ликвидации аварии броненосца «Генераладмирал Апраксин», а также при спасении рыбаков, унесенных в море у острова Гогланд. Здесь дальность радиосвязи уже достигла 45 км.
Дальнейшая история развития радиосвязи хорошо известна, и повторять ее нет необходимости.
Обращает на себя внимание тот факт, что полученные «на кончике пера» уравнения Максвелла получили сначала подтверждение на созданных его последователями физических макетах, а затем в широком промышленном внедрении. И это создало у широкой массы электротехников и радиотехников, как ученых, так и прикладников, а также у всех, кто, так или иначе, столкнулся с уравнениями Максвелла, впечатление об их полноте, совершенстве и абсолютной законченности. А это-то и неверно.
Любое физическое явление, и здесь электромагнитные явления не являются исключением, обладают бесчисленным множеством свойств, каждое из которых можно исследовать до любой глубины, и, в принципе, чтобы исследовать любое явление во всей его полноте, необходимо бесконечно совершенствовать методы исследования и аппаратуру, с которой проводятся исследования. Полное математическое описание любого явления должно содержать бесчисленное множество уравнений, каждое из которых должно содержать бесчисленное множество членов. Именно поэтому произвести исследование любого явления полностью невозможно, так же как и составить полное его математическое описание. Речь может идти только о постепенном наращивании знаний об исследуемом явлении и только в зависимости от конкретной поставленной цели.
Не составляют здесь исключения и уравнения электромагнитного поля, разработанные Максвеллом, и сами электромагнитные явления, которые некоторые «ученые» относят к «хорошо изученным». О том, что это на самом деле в электромагнетизме далеко не всё известно, свидетельствуют работы Николы Тесла, выдающегося сербского ученого-электротехника, продемонстрировавшего множество электрических явлений, которые до сих пор, спустя сто и более лет, никто повторить не может, хотя все его патенты хорошо известны.
Хотелось бы обратить внимание на тот прискорбный факт, что, хотя по электротехнике и радиотехнике выполнено множество исследований и написаны горы книг и учебников, теория электромагнитных явлений со времен Максвелла не сдвинулась ни на шаг. Речь может идти, разве что, об отдельных моментах в конкретных приложениях, но теоретические основы остались незыблемыми.
Мало того, любые попытки как-то продолжить разработку таких основ наталкиваются на противодействие физиков-теоретиков и ученых-электротехников, поскольку такие исследования как бы подрывают их авторитет Максвелла и самих этих ученых, ничего не сделавших для развития фундаментальных основ электромагнетизма. Со временем попыток продолжить фундаментальные исследования основ электромагнетизма становилось все меньше, а сейчас такие исследования и вовсе прекратились.
Между тем, в теоретической электротехнике, а значит, и в теоретической радиотехнике далеко не все в порядке, причем, в самих основах. Приведем пример.
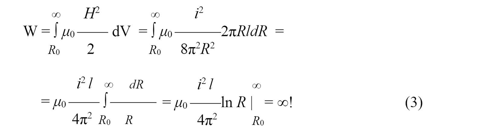
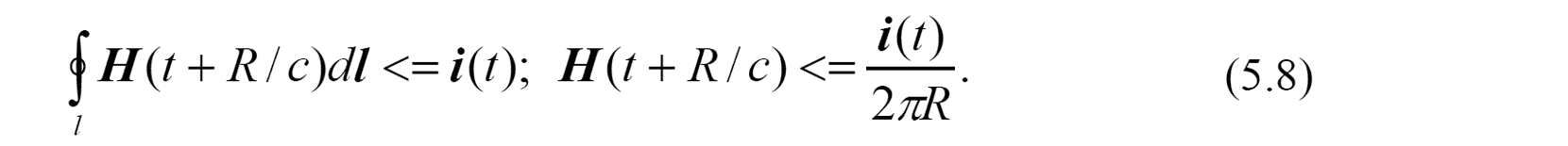
Если взять одиночный провод и пропустить через него ток i, неважно какой, то напряженность магнитного поля Н вокруг него определится законом полного тока и будет равна
где R – расстояние от центра провода до точки, в которой измеряется напряженность магнитного поля. Никакого ограничения на распространение магнитного поля нет, а его удельная энергия определяется выражением
Если теперь рассчитать энергию магнитного поля, приходящуюся на l = 1 метр длины проводника
Это обстоятельство давно всем известно, и обычно ответ таков: ведь где-то существует обратный провод, а тогда от обоих проводов поля складываются, и никакой бесконечности не будет Это верно, однако не совсем.
Не совсем верно потому, что такие провода могут быть разнесены на любое расстояние друг от друга, а тогда энергия магнитного поля, приходящаяся на единицу (!) длины проводов может быть любой при любом значении тока, хоть в один микроампер. Парадокс!
Таких примеров можно найти не один. Более детально все это рассмотрено в [1].
Не подтверждаются на практике соотношения для определения взаимоиндукции прямоугольных контуров, если их размеры достаточно велики, хотя бы для площадей, измеряемых единицами квадратных метров. Здесь отличия от расчетных очень большие. А понятия взаимоиндукции проводников в современной электротехнике вообще нет.
Всем известно, что электромагнитные волны перемещаются поперечно. Но вот возникла необходимость решения в общем виде задачи об излучении диполя Герца с сосредоточенными параметрами в полупроводящей среде. И оказалось, что решить эту задачу с помощью уравнений Максвелла невозможно. В приближенном виде, отбрасывая проводимость среды, – пожалуйста, а в полном виде – нет. Проведенные же эксперименты показали наличие продольной составляющей электромагнитной волны, в которой направление электрического вектора совпадает с направлением распространения электромагнитной волны. Мало того, при правильном подборе расстояния между излучающими электродами основная энергия распространяется именно вдоль оси диполя, а не поперек него. Диаграмма излучения напоминает эллипс, вытянутый в направлении оси диполя. Но это никак не вытекает из уравнений Максвелла!
Все это является результатом того, что электротехника полностью утратила представления о физической сущности явлений, об их внутреннем механизме. Полностью оправдалось замечание В.И.Ленина о том, что у физиков «материя исчезла, остались одни уравнения» [3].
Пора, наконец, вспомнить о том, что мы вообще не знаем ни что такое электрическое и магнитное поля, ни что такое электрический ток, ни каков механизм всех электрических и магнитных явлений, которые мы так широко используем, совершенно не представляя, что это такое.
Для ряда электромагнитных величин даже не подобран физический смысл. Скажем, скалярный потенциал – это работа, которую нужно совершить при перемещении единичного электрического заряда из бесконечности в точку, находящуюся под этим потенциалом. А что такое «векторный потенциал», и каков его физический смысл? Кроме того, что он должен удовлетворять определенному математическому соотношению, о нем вообще ничего не сказано.
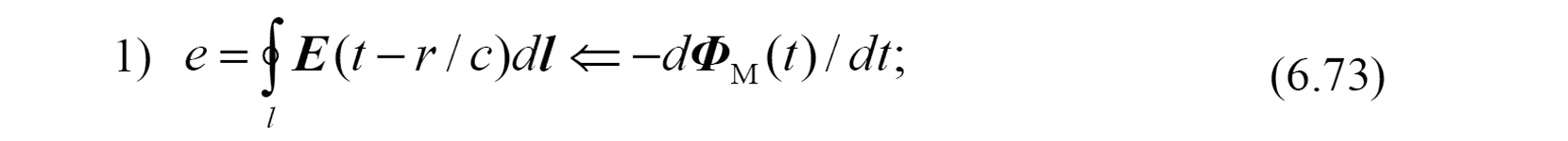
Формулы электродинамики грешат «дальнодействием», т. е. действием на расстоянии такого сорта, что реальный физический процесс в них не просматривается. Простейший случай – закон Фарадея
связывает изменение напряженности дНz магнитного поля на площади Sxy контура (в дырке) с той э.д.с. е которая возникает на самом контуре в проводниках контура. Никакого процесса, связанного с взаимодействием изменяющегося поля непосредственно с проводниками контура, здесь нет, а есть изменение напряженности поля в одном месте (в дырке) и появление э.д.с. в другом месте – на проводниках! Каков же механизм передачи сигнала? Из формулы это не вытекает, хотя правильность соотношений почти не вызывает сомнений. «Почти», потому что имеются экспериментальные данные, когда это совсем не так. Например, формула Фарадея не учитывает поля, лежащие вне измерительного контура, а эксперимент показывает, что их учитывать нужно, иначе погрешности становятся чрезвычайно большими. Но это обстоятельство никак не вытекает ни из закона Фарадея, ни из уравнений Максвелла.
Все основные экспериментальные основы электротехники созданы в первой половине 19-го столетия, и в это же время созданы основные теоретические ее основы.
Последним крупным достижением теоретической электротехники, ее фундаментальной основой явился двухтомный «Трактат об электричестве и магнетизме», написанный выдающимся английским ученым Д.К.Максвеллом, вышедший в свет в 1873 г. В этой фундаментальной работе Максвелл обобщил результаты трудов 24-х своих предшественников (Остроградского, Гаусса, Ампера, Ленца, Грина, Вебера, Неймана, Кирхгофа, Томсона, Гельмгольца и др.), а также результаты собственных исследований.
Это обобщение вылилось, в частности, в систему уравнений, из которых, как частные случаи, вытекали законы, описывающие отдельные электрические явления.
Нужно отметить, что свои знаменитые уравнения (всего 20 уравнений), включающие 20 переменных величин, Максвелл изложил в работе «Динамическая теория электромагнитного поля» (1864), чему предшествовал ряд его же работ, объединенных под названием «О фарадеевых силовых линиях», вышедших в свет в 1856 г., и «О физических силовых линиях», вышедших в 1862 г. Согласно изложенному в современных учебниках, Максвелл якобы «постулировал» свои уравнения, на самом же деле свои уравнения Максвелл строго вывел на основании модели движущегося эфира, в котором возникают вихревые трубки («фарадеевы трубки»), используя для этого труды Гельмгольца о вихревом движении идеальной жидкости, т. е. жидкости не вязкой и не сжимаемой. Приписав эфиру свойства идеальной жидкости, применив теоремы Гельмгольца о том, что в идеальной жидкости вихри не возникают и не уничтожаются, а только перемещаются, и, указав, что циркуляция вихря вдоль его оси постоянна, Максвелл связал все параметры движущейся жидкости и получил уравнения электродинамики.
Именно модельный, т. е. динамический подход и строгий гидродинамический вывод обеспечил уравнениям Максвелла максимально возможное для того времени соответствие полученных уравнений реальным электромагнитным явлениям. О том, насколько хорошо и добросовестно это было сделано, судить нам, потомкам, пользующимся результатами максвелловских работ уже более ста лет.
С тех пор прошло более ста тридцати лет. За это время на основе достижений 19-го века и максвелловской теории созданы целые отрасли промышленности во многих странах, это энергетика, электротехника, радиотехника и электроника, которые проникли во все отрасли науки, техники, транспорта, связи и быта. Созданы многие тысячи наименований изделий, использующих электромагнитные явления, и сегодня нет никого, кто усомнился бы в справедливости полученных научных и технических результатов. Это создало представления не только о непогрешимости найденных законов электротехники, но и об их абсолютности. Но это последнее неверно.
При всем величии выполненной Максвеллом работы нельзя забывать, что она, как и всякая работа, есть не окончательная, а только приближенная истина, и поэтому в ней могут быть отступления от реальной картины явлений, которые многократно сложнее любых моделей. И, следовательно, такие отступления нужно поискать и определить, не пора ли пойти в этом вопросе дальше Максвелла.
И в самом деле, при ближайшем рассмотрении выводов уравнений электродинамики такие отступления от реальной действительности несложно обнаружить.
Прежде всего, эфир принимался за идеальную жидкость, т. е. жидкость не вязкую и не сжимаемую. А таких жидкостей в природе не бывает, все они в какой-то мере вязкие и в какой-то степени сжимаемые. А если эфир это вообще не жидкость, а газ, что предполагали многие исследователи, то степень сжатия эфира может оказаться очень высокой, хотя вязкость может быть и относительно небольшой. Из этой поправки вытекает очень многое.
В вязкой и сжимаемой жидкости, в отличие от жидкости идеальной, вихри могут образовываться и уничтожаться, тем более, если учитывать потоки жидкости вдоль оси вихря. И это значит, что на переходном процессе, в момент образования, циркуляция вдоль оси вихря не будет постоянна. А это значит, что в ближней зоне любых электродов должны существовать продольные, а не поперечные волны, что и было обнаружено при постановке соответствующих экспериментов и что вовсе не предусмотрено уравнениями Максвелла.
Еще об одном. При всей своей кажущейся полноте уравнения Максвелла не отражают развития процесса в каждой точке пространства, так как эти уравнения отражают движение эфира только в плоскости. Для того чтобы подобные уравнения отражали процессы в объеме, в окрестностях каждой точки пространства, нужно, чтобы рассматривались различия в условиях вихреобразования в двух параллельных плоскостях, т. е. описывать уравнениями процессы, происходящие вдоль осей вихрей, а этого у Максвелла нет.
Никаких намеков на возможность сжатия электрического и магнитного полей у Максвелла тоже нет, а в сжимаемом эфире это обязательно должно быть, что и было выявлено при анализе результатов измерений в специально поставленном исследовании Закона полного тока.
И так далее.
Уравнения Максвелла не отражают физического процесса при пересечении распространяющимся магнитным полем проводников.
Но другой закон – Закон электромагнитной индукции, т. е. закон наведения э.д.с. на проводник при пересечении им неподвижного магнитного поля
отражает этот процесс, так как в нем фигурирует скорость v пересечения проводником, имеющим длину l, магнитного поля с индукцией В. И, следовательно, это есть закон близкодействия, в котором проглядывается суть процесса.
В законе же Фарадея такая суть не просматривается, а это значит, что на самом деле процесс протекает как-то иначе. Действительно, в реальных процессах никакого изменения напряженности магнитного поля вдоль оси не происходит, а происходит изменение концентрации силовых магнитных линий в площади контура за счет прихода их туда не в продольном, а в поперечном направлении. В процессе этого движения и происходит пересечение ими проводников рамки. А тогда этот процесс описывается иначе, хотя в частном случае формулы дадут близкие результаты. Правда, в других случаях результаты могут сильно расходиться, и в этих случаях эксперименты подтверждают не максвелловские и фарадеевские зависимости, а зависимости, выведенные из условия непосредственного взаимодействия изменяющегося магнитного поля с проводником.
Из всего сказанного следует то, что уравнения Максвелла далеко не полностью описывают сущность электромагнитного процесса. Они опираются на весьма приближенную модель электромагнитных явлений и, соответственно, весьма приближенно их отражают. Все, что не заложено в модели, не попало и в уравнения. Поперечность электромагнитных волн заложена в модели, оттуда перешла в уравнения, и, естественно, решение этих уравнений дает поперечные волны. А продольные волны не закладывались в модель, откуда же им взяться в уравнениях? Их там и нет, но вовсе не потому, что таких волн не существует в природе.
Концепция дальнодействия, отсутствие механизма передачи взаимодействий в пространстве, когда такие взаимодействия реально происходят, неоднократно критиковались различными учеными. В этом направлении в 20-е и 30-е годы в нашей стране прошли большие дискуссии. Ученые-прикладники всегда настаивали на том, что должен существовать механизм передачи взаимодействий, и настаивали также на том, что для обеспечения этих взаимодействий должна существовать мировая среда – эфир. Однако такая постановка вопроса встречала возражения со стороны ведущих физиков-теоретиков, которые всячески препятствовали самой постановке задачи, возможно, понимая сложность задачи и опасаясь того, что они могут с ней и не справиться. И в результате мы до настоящего времени не имеем достаточно полной картины электромагнитных явлений, а, не понимая их физической сути, не можем развивать электродинамику в той степени, в какой это требует практика.
На примере электродинамики видна относительность наших знаний о природе явлений, в данном случае – электромагнитных. Мы должны быть глубоко благодарны Дж.К.Максвеллу и его предшественникам за те результаты, которые они донесли до нас и которыми мы столь успешно пользуемся многие годы. Но это вовсе не означает, что за нас все сделано, как это в явной или скрытой форме объясняют нам ученые от электродинамики.
На протяжении более чем ста лет со дня выхода в свет трактата Максвелла в области теории электромагнетизма практически не произошло никаких сдвигов, разве что в 1874 г. Умов и в 1892—95 гг. Пойнтинг предложили ввести вектор плотности потока энергии электромагнитного поля в пространстве. За это время написаны и переписаны сотни учебников по электротехнике, радиотехнике и электронике. В них практически ничего не добавлено к тому, что уже было получено Максвеллом. Изменились лишь обозначения, улучшилась (или ухудшилась?) редакция, изменилась трактовка. А вся суть электродинамики осталась той же, и ученые-электродинамики пребывают в полном благодушии, из поколения в поколение протаскивая все одни и те же избитые истины.
На самом деле, за исключением нескольких законов сохранения, отражающих свойства всеобщих физических инвариантов – сохранения материи, пространства, времени и их совокупности – движения с учетом охвата всех уровней иерархического строения материи, все остальные «законы» носят частный характер. Это значит, что эти «законы» есть всего лишь первое приближение к истине, ибо каждое конкретное явление имеет бесчисленное множество свойств и поэтому может быть описано только приближенно. Чтобы описать любое явление во всей полноте нужно составить бесчисленное множество уравнении с бесчисленным количеством членов в каждом из них, а это не только невозможно, но и не нужно. Поэтому абсолютно точных уравнений частных законов просто не существует и существовать не может. Это касается даже таких фундаментальных законов, как Закон всемирного тяготения И.Ньютона или законы небесной механики. Но это же касается и уравнений Максвелла и любых других законов электротехники, радиотехники и электроники. Каждый «закон» отражает лишь частное явление, определенное конкретной целью, и отражает только с определенной степенью точности, поскольку не может учесть все особенности, все нелинейности, все второстепенные детали, которые неминуемо в нем скрыты.
За прошедшие более ста лет в области теории электромагнетизма практически не создано ничего нового. Поэтому не должно быть негативного отношения к попыткам перепроверить уже известные законы, поставить новые эксперименты или найти новые функциональные зависимости, связывающие физические величины. Наоборот, именно это и является целью науки. Это же касается и теоретической электротехники.
Человечество эксплуатирует достижения великих ученых 19-го столетия более полутора веков. Они оказались исключительно полезны, но они же не открыли и многое, что еще предстоит открыть и использовать на благо людям. А некоторые открытые явления оказались утраченными, примером является электротехника Николы Тесла, достигнувшего результатов, которые сейчас, сто лет спустя никто не может воспроизвести, потому что это другая электротехника, основанная на других законах, которые теперь нужно находить заново.
Обо всех физических явлениях мы мыслим моделями, то есть, теми или иными представлениями о физических процессах, происходящих в этих явлениях. Но это всего лишь наши представления, не всегда верные. Эти процессы мы описываем математически, внося и в эти описания дополнительные неточности. Но это, все же, путь раскрытия этих законов. Но когда теоретики не строят физических моделей, а пытаются из одних и тех же уже открытых законов выявить новые следствия, то такой путь заведомо обречен на неудачу: новое можно найти, только привлекая новые представления, новые факты и ставя новые эксперименты.
Сегодня в области теоретического электромагнетизма мы сталкиваемся с тем же консерватизмом, который поразил всю теоретическую физику: сама попытка найти что-то новое в области электромагнетизма наталкивается на обструкцию специалистов. Это неправильно.
В настоящее время вся наука находится в кризисе, связанным именно с консерватизмом специалистов, считающих, что все уже сделано и все давно ясно. На самом деле мы находимся перед всплеском новых поисков и открытий во всех областях естествознания, включая электротехнику, радиотехнику и электронику. Есть основания полагать, что эфиродинамический подход окажет серьезную помощь таким поискам. А их результатом будет не только уточнение уже существующих законов, но и в некоторых случаях их полный пересмотр.
Видимо, и здесь придется за дело браться прикладникам, перед которыми возникают практические задачи и которым по этой причине теория, отражающая реальные природные процессы, нужна больше, чем ученым-теоретикам.
В предлагаемой книге сделана попытка для понимания сущности электромагнитных явлений привлечь эфиродинамические модели, в основе которых лежат движения эфира – физической среды, заполняющей все мировое пространство и являющейся строительным материалом для всех без исключения материальных образований, включая вещество, электрическое и магнитное поля. Именно движение потоков эфира, в которых образуются градиенты давлений, оказывается той физической основой, которая и обеспечивает все те явления, которые наука относит к категории электромагнитных явлений [2].
Разумеется, эфиродинамические модели, как и всякие физические модели, тоже не отражают и не могут отражать электромагнитные явления во всей полноте, тем не менее, по сравнению с современными представлениями это шаг вперед, причем шаг существенный.
Эфиродинамика есть раздел механики и, так же, как и вся механика она оперирует перемещениями масс в пространстве. Эфиродинамика опирается на уже существующий модельный и математический аппарат газовой механики, поскольку на всех уровнях иерархической организации материи действуют одни и те же физические законы, а эфир оказался физической газоподобной средой со всеми свойствами обычного реального, т. е. вязкого сжимаемого газа. Кроме того, в ней нет ни постулатов, ни аксиом, есть только логика и материалистический метод изучения природы, заставляющий считаться со всеми природными явлениями, которые реально существуют. В этом проявились и новые возможности эфиродинамического подхода, поскольку эфиродинамика, продолжающая линию развития кинетической теории материи (Дж. Максвелл, Л.Больцман, Дж.Томсон, В.Ф.Миткевич, А.К.Тимирязев и др.) получила от смежной области – газовой механики весь наработанный модельный и математический аппарат.
Не все проблемы в самом этом аппарате оказались решенными, но это все же основа, которой оказалось возможным воспользоваться для моделирования электромагнитных явлений. А поскольку все это механика, то модели оказались наглядными, вопреки утверждениям некоторых «ученых» о том, что никаких наглядных представлений для подобных явлений создано быть не может. Они ошиблись, модели созданы, и на их основе оказалось возможным не только понять физическую сущность основных электромагнитных явлений, но и уточнить некоторые уравнения, в том числе уравнения Максвелла, предсказать некоторые новые явления и проверить их в лабораторных, а некоторые и в натурных условиях. Эти новые явления, как говорили раньше, найдены «на кончике пера», т. е. предсказаны на основе новых модельных представлений о сущности явлений.
Таким образом, эфиродинамика уже сегодня позволила в области электромагнетизма сделать еще один шаг, что, несомненно, окажется полезным и в прикладном аспекте. Но при всем этом это только начало очередного этапа развития учения об электричестве.
Современной теории электромагнетизма предшествовал длительный период накопления знаний об электричестве и магнетизме [14]. В ХVII и XVIII вв. исследованию природы электричества были посвящены труды М.В.Ломоносова, Г.В.Рихмана, Б.Франклина, Ш.О.Кулона, П.Дивиша и других ученых. Решающее значение имело создание А.Вольта первого источника непрерывного тока. В первой трети ХIХ столетия были проведены многочисленные исследования химических, тепловых, световых и магнитных явлений, вызываемых электрическим током (труды В.В.Петрова, Х.К.Эрстеда, Д.Ф.Араго, М.Фарадея, Дж. Генри, А.М.Ампера, Г.С.Ома и других). Во второй половине XIX в. эти работы получили многочисленные практические внедрения во многих разработках, нашедших широкое применение в промышленности. И при всем этом практически никто не знает, какова суть электричества и магнетизма, что они собой представляют, в чем заключается их физическая природа.
Нужно сказать, что в XIX в. были предприняты некоторые попытки разобраться в вопросе о том, что же представляют собой электричество и магнетизм физически, из чего они состоят и как они устроены. Так или иначе, все они были вынуждены привлечь к рассмотрению представления об эфире, движения которого, по их мнению, и лежали в основе электромагнетизма.
М.Фарадей выдвинул предположение о существовании силовых трубок электричества («Фарадеевы силовые линии») [5]. Представления об электромагнитных явлениях как о вихревых движениях эфирной жидкости были сформулированы Г.Гельмгольцем [6], В.Томсоном [7], Челлисом [8], Максвеллом [9], а также некоторыми другими авторами – Хевисайдом [10-11], Кемпбеллом [12], Лармором [13], Ланжевеном [14], Абрагамом [15] и др. Значительный вклад в понимание процессов, связанных с прохождением электрического тока по проводам внесли немецкий физик П.Друде [16], создавшим электронную теорию проводимости металлов, и нидерландский физик Г.Лоренц [17] существенно развивший и дополнивший эту теорию. В ХХ столетии подобные идеи высказывались Дж.Томсоном [18], Н.П.Кастериным [19], В.Ф.Миткевичем [20].
Математическая теория электричества и магнетизма была создана и практически завершена во второй половине XIX в. Ее апофеозом явился знаменитый «Трактат об электричестве и магнетизме» [21], написанный Максвеллом в 1873 г. В нем Максвеллу удалось обобщить результаты работ ряда ученых таких как В.Томсон, М.Фарадей, Г.Гельмгольц, Кирхгоф, Ранкин, Кулон, Ампер, Риман, Нейман, Эрстед, Ленц и многих других (Стокс, Вебер, Челлис, Физо, Верде, Рив, Бир, Холл, Квинке, Грин, Дженкин, Лагранж, Феличи, Фуко, Кноблаух, Пулье) и дополнить достижения исследователей электромагнитных явлений того времени теорией электромагнитного поля. В «Трактате» Максвеллом были окончательно оформлены знаменитые уравнения электродинамики, получившие его имя. В таком виде теория электромагнетизма сохранилась до наших дней практически без изменений. Трактат Максвелла явился основой всех последующих учебников по электротехнике и электродинамике.
Пожалуй, не меньшее значение имела и работа Г.Лоренца «Теория электронов и ее применение к явлениям света и теплового излучения», написанная им в 1909 г. [17].
Работы Максвелла и, в частности, его уравнения электромагнитного поля оказали решающее влияние на развитие уже в ХХ столетии таких областей науки, как электротехника, электродинамика, радиотехника, электроника и даже оптика. Из этих знаменитых уравнений вытекало, что могут существовать электромагнитные волны, распространяющиеся в пространстве со скоростью света. Это предсказание было сделано Максвеллом в работе «О физических силовых линиях» (1861–1862) [9]. В этой работе Максвелл, пользуясь моделью некоего вихревого механизма в эфире, впервые приходит к своим знаменитым уравнениям и вводит понятие тока смещения. Максвелл совершенно определенно становится на позиции Фарадея, связанные с признанием реальности физического состояния среды, представляемого силовыми линиями. Концепция близкодействия сложилась у него окончательно, и дальнейшей его задачей стало отразить структуру поля в моделях и уравнениях, что и было им выполнено в 1873 г. в «Трактате об электричестве и магнетизме».
Исходя из уравнений Максвелла, основанных на представлениях о вихревых движениях эфира, немецкий физик Генрих Герц в 1886–1889 гг. с помощью изобретенного им вибратора экспериментально доказал существование электромагнитных волн и исследовал их свойства (отражение от зеркал, преломление в призмах и т.п.). Герц подтвердил все основные выводы максвелловской теории о свойствах электромагнитных волн [22].
После опубликования в 1888 г. работ Герца по электродинамике русский физик и изобретатель А.С.Попов в 1895 г. создал необходимую для передачи и приема электромагнитных волн аппаратуру, чем положил начало радиотехнике [23].
Таким образом, уравнения электромагнитных процессов, выведенные Дж.К.Максвеллом на основе представлений о вихревых движениях эфира, не только имеют теоретическое обоснование, но и прошли всестороннюю проверку практикой.
Полезно напомнить, что уравнения электродинамики выведены Максвеллом на основании моделей движения эфира, в существовании которого Максвелл был убежден.
«Действительно, – пишет Максвелл, – если вообще энергия передается от одного тела к другому не мгновенно, а за конечное время, то должна существовать среда, в которой она временно пребывает, оставив первое тело и не достигнув второго. Поэтому эти теории должны привести к существованию среды, в которой и происходит это распространение».
Уровень знаний свойств эфира тогда оказался недостаточным, возможно, по этой причине сколько-нибудь удовлетворительной качественной теории электромагнитных явлений создать не удалось, и внимание исследователей было обращено к количественному изучению электрических и магнитных явлений, выявлению закономерностей и созданию на их основе расчетных методов. На этом пути были получены выдающиеся результаты, позволившие создать современную математическую теорию электромагнетизма. Но не физическую.
В связи с трудностями создания физической теории электромагнетизма, а также в связи с успехами количественных методов у многих теоретиков и практиков сложилось впечатление о том, что никакой необходимости в понимании сути электрических и магнитных явлений нет. Однако такое мнение глубоко ошибочно. Непонимание физической сущности явлений приводит к тому, что созданные количественные методы начинают применяться без каких бы то ни было ограничений, что иногда приводит к большим ошибкам в расчетах. Более того, неучтенными оказываются многие существенные обстоятельства. И еще более – появляются новые задачи, которые созданными методами решить не представляется возможным, и они остаются нерешенными. Примеров тому много и в электротехнике, и в радиотехнике, и в других областях, так или иначе связанных с электромагнитными явлениями, даже в оптике.
Если бы была создана качественная теория электромагнитных явлений, то, вероятно, большинство функциональных описаний и вытекающих из них количественных методов расчетов сохранились бы неизменными, но в некоторых случаях они претерпели бы существенные уточнения. А это позволило бы создать не только новые методы расчетов, более точные, но даже новые направления.
Так или иначе, но, широко используя математические зависимости теории электромагнетизма и делая из них иногда даже общефилософские заключения, теоретики и практики до сих пор не имеют ни малейшего представления о сущности электричества. Подавляющее большинство к этому притерпелось и не считает нужным этот вопрос поднимать. Но не следует забывать, что рано или поздно несовершенство теории неизбежно приведет к столкновению с интересами практиков, когда окажется, что созданного теоретического задела недостаточно для решения прикладных задач. Это потребует дальнейшего развития теории, но развитие теории, не имеющей представлений о сущности рассматриваемых ею явлений, невозможно.
На необходимость сущностного подхода к изучению электромагнитных явлений обращали внимание многие ученые. Еще Ф.Энгельс в 1882 году писал [1]:
«Исключительная эмпирия, позволяющая себе мышление в лучшем случае разве лишь в форме математических вычислений, воображает, будто она оперирует только бесспорными фактами. В действительности же она оперирует преимущественно традиционными представлениями, по большей части устаревшими продуктами мышления своих предшественников. Последние служат ей основой для бесконечных математических выкладок, в которых из-за строгости математических формул легко забывается гипотетическая природа предпосылок. Эта эмпирия уже не в состоянии правильно изображать факты, ибо в изображение их у нее прокладывается традиционное толкование этих фактов».
В 1906 г. в известной работе «Теория электронов» [17] Г.Лоренц отмечает:
«Хотя уравнения (электромагнитного поля – В.А.) являются полезными при рассмотрении многих задач, они не могут быть применены во всех без исключения случаях. Если бы даже это и имело место, наша теория перестала бы нас удовлетворять при попытке заглянуть глубже в природу явлений: действительно, ведь в этой общей теории мы выражаем особенные свойства различных весомых тел, просто приписывая каждому из них специальные значения диэлектрической постоянной, проводимости и магнитной проницаемости. Если мы хотим понять, каким образом (курсив мой – В.А.) электрические и магнитные свойства зависят от температуры, плотности, химического строения или кристаллического состояния вещества, то мы не можем удовлетвориться простым введением для каждого вещества этих коэффициентов, значения которых должны определяться из опыта: мы будем принуждены обратиться к какой-нибудь гипотезе относительно механизма, лежащего в основе всех этих явлений».
Следует с прискорбием констатировать, что успехи прикладных наук создали ныне существующей теории электромагнитных явлений и в особенности, теории Максвелла ореол абсолютной истинности, а современная теоретическая физика исключила представления о существования эфира в природе, вихревые движения которого рассматривались Максвеллом как основа электромагнитных явлений. Тем самым была исключена какая бы то ни было возможность дальнейшего углубления в понимание сущности электромагнитных явлений. Прямым следствием этого явилось то, что математические зависимости электродинамики, созданной Максвеллом более ста лет назад, практически никак не развивались.
Попытки некоторых исследователей что-либо изменить в этих уравнениях всегда оканчивались неудачей. Это дало основание Л.Больцману в своих примечаниях к переводу работы Максвелла «О физических силовых линиях» в 1898 г. написать [ 2, с.194]:
«Я мог бы сказать, что последователи Максвелла в этих уравнениях, пожалуй, ничего кроме букв не переменили. Однако это было бы слишком. Конечно, не тому следует удивляться, что к этим уравнениям вообще что-то могло бы быть добавлено, а гораздо более тому, как мало к ним было добавлено».
Сегодня, более ста лет спустя, это удивление Больцмана сохраняет свою силу: к уравнениям Максвелла практически не добавлено ничего, хотя за это время написаны сотни учебников по теоретическим основам электротехники, электродинамики и радиотехнике, решены тысячи прикладных задач, созданы разнообразнейшие устройства. Казалось бы, что нет никаких оснований возвращаться к этому вопросу. Однако это не так.
Во-первых, идеализированные представления о движениях эфирной жидкости привели к парадоксам в моделях электромагнетизма. В теоретических основах электромагнетизма накопилось множество недостатков, главным из которых является полное непонимание самой физической сущности электричества и электромагнитных явлений. Электрический заряд считается как бы врожденным свойством заряженных частиц, а сами электрические частицы не имеют никакой структуры и никакого строительного материала, они даже не имеют четкого размера. Не определена также и физическая сущность электрического и магнитного полей. Термин «поле – особый вид материи» ничего не объясняет и сводит всего лишь непонятное к неизвестному.
В теории электромагнетизма накопилось множество парадоксов, например, энергетический парадокс частиц, поскольку они не имеют размера, хотя имеют магнитный момент и заряд, то их энергия должна быть бесконечно большой. В электродинамику перешли парадоксы, имеющиеся в гидродинамике идеальной жидкости, например энергия единицы длины вихря равна бесконечности независимо от его интенсивности. В электродинамике возник парадокс, аналогичный рассмотренному: энергия единицы длины проводника с током равна бесконечности независимо от величины тока. Правда, поскольку одиночного проводника в природе не существует, появляется возможность разрешения этого парадокса за счет рассмотрения всей конструкции в целом, включая обратный проводник, тогда этот парадокс разрешается. Тем не менее, парадоксального положения не должно существовать ни для какой системы, в том числе и для условного одиночного проводника.
Имеются и некоторые другие недостатки существующих моделей: большинство из них не рассматривает взаимодействия вещества и электромагнитных полей, отрывая их тем самым друг от друга, в некоторых выражениях никак не отражено взаимодействие источников полей и тел, на которые они воздействуют, и т.п.
Во-вторых, выяснилось, что многие расчеты, построенные на основе уравнений Максвелла, дают весьма приближенные результаты, отличающиеся от найденных эмпирическим путем, на десятки процентов, иногда и в несколько раз. Это касается, например, взаимоиндукции больших контуров. Правда, прикладники к этому привыкли, относят неувязки к не учету сопутствующих факторов и в процессе отладки устройств вносят необходимые коррективы. Но анализ показывает, что одними неучтенными факторами отклонения в расчетах объяснить нельзя.
В-третьих, обнаружилось, что существует серия задач электродинамики, которые не могут быть решены на основе существующих представлений. Это связано, в первую очередь, с тем, что авторами моделей рассматривались лишь первые приближения к электромагнитным явлениям, а таких приближений по мере накопления новых данных может быть сколько угодно, привели к тому, что некоторые прикладные задачи электродинамики оказываются нерешенными, причем имеются задачи, которые принципиально нельзя решить на базе уравнений Максвелла.
К таким задачам, например, относится совместное движение двух одинаковых зарядов, неподвижных относительно друг друга: пока они оба неподвижны, они отталкиваются друг от друга по закону Кулона, но если они вместе, не смещаясь один относительно другого, перемещаются в пространстве, то они теперь становятся токами, притягивающимися друг к другу. Почему?
Такой задачей, например, является и задача о распространении электромагнитных волн диполем Герца, помещенным в полупроводящую среду. Диполь Герца, т. е. диполь с сосредоточенными параметрами, которые известны, помещенный в полупроводящую среду, параметры которой тоже известны, излучает ток известной величины, частота которого тоже известна. Нужно определить плотность тока в среде в заданной точке пространства. Эта задача полностью физически определена. Несмотря на тривиальность постановки и заманчивую возможность из общего решения этой задачи получить как предельный случай многие частные результаты – излучение в идеальной среде при отсутствии активной проводимости, затухание плоской волны в полупроводнике при бесконечных расстояниях от диполя и некоторые другие, – задача об излучении диполя Герца в полупроводящей среде никогда и никем не была решена, и попытки ее решить неизменно кончались неудачей.
Имеются, правда, попытки сформировать готовое решение путем перемножения двух частных решений – решения задачи о распространении поля диполем Герца в идеальной среде и решения задачи плоской волны, но такой подход совершенно некорректен. На самом деле эта задача не может быть решена на основе уравнений Максвелла, так как приводит к системе уравнений, не имеющих общего решения.
Не решены предельные задачи об электрическом поле в пульсирующем однородном электрическом поле и многие другие. Существуют даже целые классы электродинамических задач, физически полностью определенных, которые, тем не менее, нельзя решить с помощью уравнений Максвелла.
В-четвертых, следует отметить, что не все понятия, используемые в теоретической электротехнике, имеют четкий физический смысл. Что такое «векторный потенциал A»? Это такая величина, вихрь которой есть вектор магнитной индукции B:
Физический же смысл этой величины отсутствует.
В-пятых, в логике электромагнетизма имеются некоторые неувязки. Например, статический постулат Максвелла
помещаемый в учебниках теоретических основ электродинамики в разделах статики, после представления его в дифференциальной форме
помещается уже в раздел динамики, хотя последняя форма представления по физической сущности ничем не отличается от предыдущей. В результате игнорируется запаздывание в значениях электрической индукции D при перемещении зарядов q внутри охваченного поверхностью S пространства.
А, в-шестых, необходимо напомнить, что ни одно явление не может быть описано полностью, что всякое описание приближенно, и если написано уравнение, отражающее некий процесс, то сам факт написания этого уравнения с конечным числом членов означает, что это уравнение описывает процесс частично, приближенно. А значит, рано или поздно возникнет необходимость его уточнения. Это относится ко всем конкретным процессам и физическим явлениям, и электромагнитные явления не являются исключением.
Изложенные моменты, а также некоторые другие соображения не позволяют считать развитие теории электромагнетизма полностью завершенным. Однако дальнейшая эволюция ее возможна лишь на основе детального качественного рассмотрения процессов, происходящих в электромагнитных явлениях, что и заставляет вновь вернуться к разработке моделей этих явлений с учетом тех недостатков, которые были присущи ранним гидромеханическим моделям.
Поэтому попытки уточнения уравнений электродинамики не должны вызывать протеста. Необходимо лишь убедиться в корректности постановки задачи.
Однако всякое уточнение уравнений должно базироваться на представлении о сущности явления, на его качественной модели. Дж.К.Максвелл следовал динамическому методу исследований электромагнетизма. Он представлял электрические и магнитные явления как некие вихревые процессы, протекающие в эфире – среде, заполняющей все мировое пространство. И поскольку он полагал, что эфир – это нечто вроде идеальной жидкости, то он широко использовал представления гидромехаников своего времени о свойствах и формах движения такой жидкости, в частности представления Г.Гельмгольца, У.Ранкина и других исследователей. Учитывая, что представления Максвелла об электромагнитных явлениях, выраженные его уравнениями, получили хорошее подтверждение, хотя и не абсолютное, было бы логично вернуться к его модели с поправкой на современные представления об эфире.
В настоящее время есть все основания вернуться к моделям электричества и магнетизма, разработанным Дж.К.Максвеллом и его предшественниками, попытаться понять их недостатки с позиций сегодняшних представлений об эфире и физическую сущность электричества, магнетизма и электромагнитных явлений, для чего необходимо уточнить физическую модель электромагнетизма и на этой основе произвести соответствующие уточнения уравнений электромагнитных явлений. При этом стоит не забывать, что и уточненная модель, и уравнения, вытекающие из нее, не могут быть полными и дальнейшие уточнения модели и уравнений электродинамики в будущем неизбежны.
Изложенное дает основание для попытки исполнить наставление Ф.Энгельса, высказанное им в 1882 г. в «Диалектике природы» [1, с. 452]: «Электричество это движение частиц эфира и молекулы тел принимают участие в этом движении. ...Различные теории поразному изображают характер этого движения, ...опираясь на новейшие исследования о вихревых движениях, видят в нем – каждая по-своему – тоже вихревое движение. ...Эфирная теория... дает надежду выяснить, что является собственно вещественным субстратом электрического движения, что собственно за вещь вызывает своим движением электрические явления».
Не должно быть сомнения в том, что предпринятая ниже попытка представить сущность электромагнитных явлений, как и всякая подобная попытка, носит частичный характер. Это более постановка проблемы, нежели ее решение. Тем не менее автор уверен, что подобные попытки полезны, поскольку помогают лучше понять сущность электромагнитных явлений, определить новые направления исследований, а в некоторых случаях уточнить уже известные математические зависимости.
Представленные ниже модели электромагнетизма, по-видимому, имеют свои недостатки, поэтому в дальнейшем и их также следует уточнять и дополнять, как и всякие другие модели.
Сегодня стремление понять физическую сущность электромагнитных явлений более чем своевременно. Можно считать, что на эту проблему следовало бы обратить внимание значительно раньше, ибо все материалы для этого были. Рядом авторов подобные попытки были предприняты. Среди них следует отметить труды В.Ф.Миткевича (Ленинград, 20–30-е годы) [20], современную работу Г.Н.Николаева (Томск) [25], в которой приведен обширный перечень парадоксальных с точки зрения современной электродинамики явлений, а также и некоторых других. Их недостатком все же следует считать неполноту физических представлений о сущности электромагнетизма, что не позволило авторам создать единую и непротиворечивую физическую картину электромагнитных явлений. Ниже сделана попытка в какой-то степени восполнить этот пробел.
Следует отметить, что при реализации этой попытки возникли определенные трудности, связанные с непроработанностью отдельных положений газовой механики и отдельных положений даже такого раздела математики, как векторный анализ. К первым относятся явно недостаточный уровень теории пограничного слоя в сжимаемых средах, теории взаимодействия винтовых струй, теории взаимодействия винтовых вихревых тороидов и некоторые другие. Ко вторым относятся некоторые представления, укоренившиеся в векторном анализе, но недостаточно обоснованные физически, например, запрет деления коллинеарных (совпадающих по направлению) векторов друг на друга. Хотя физический смысл такой операции очевиден, запрет на представление такой величины, как градиент вектора, хотя и здесь физический смысл ясен (например, градиент скорости потока воды в реке). Некоторые из этих трудностей удалось обойти, но детальная проработка всех подобных вопросов впереди.
Особо следует остановиться на аналогии электромагнетизма и гидромеханики.
В литературе многие авторы обращали внимание на аналогию между поведением жидкости и электричества, что даже в свое время привело к представлениям об «электрическом флюиде», некоторой электрической жидкости, обладающей свойствами идеальной, т. е. несжимаемой и невязкой жидкости, движения которой обусловливают электрические явления. Наиболее четко это выразил Дж.К.Максвелл в своих работах «О фарадеевых силовых линиях» (1855—1856), «О физических силовых линиях» (1861—1862), «Динамическая теория электромагнитного поля» (1864) [2] и «Трактат об электричестве и магнетизме» (1873) [9].
Максвелл указывал, что «Мы должны найти такой метод исследования, который на каждом шагу основывался на ясных физических представлениях… …математическое сходство некоторых законов останется в силе и с успехом может быть использовано в полезных математических приемах.
При помощи аналогий такого рода я попытался представить в удобной форме те математические приемы и формулы, которые необходимы для изучения электрических явлений.
…Этим путем мы получаем геометрическую модель физических сил, дающую повсюду направление силы, но необходимо еще найти метод для выражения интенсивности этих сил в каждой точке. Это будет достигнуто, если представлять рассматриваемые кривые не просто линиями, но трубками с переменным течением, по которым течет несжимаемая жидкость».
И далее:
«Субстанции, о которой здесь идет речь, не должно приписываться ни одного свойства действительных жидкостей, кроме способности к движению и сопротивлению сжатию. …Употребление термина «жидкость»… означает только воображаемую субстанцию со следующим свойством:
Любая часть жидкости, занимающая в какой-либо момент времени данный объем, в каждый последующий момент времени будет занимать такой же объем. Этот закон выражает несжимаемость жидкости и дает нам удобную меру ее количества, а именно ее объем.».
И далее, основываясь на свойствах этой гипотетической жидкости, Максвелл использует наработки многих авторов, создавших в то время некоторые основы движения идеальной жидкости, среди которых (всего их 24) нужно упомянуть Г.Гельмгольца [6], разработавшей основы теории вихревой жидкости, а также Вильяма Томсона [7]. Эти представления позволили Максвеллу разработать свои знаменитые уравнения электродинамики, которые явились теоретической базой для создания расчетных методов всех известных сегодня электрических и магнитных явлений.
Однако некоторые авторы, спустя несколько десятков лет, обратили внимание на неполноту уравнений Максвелла. Так Н.П.Кастерин в своей работе «Обобщение основных уравнений аэродинамики и электродинамики» [19] указывает, что «Система основных уравнений электромагнитного поля Максвелла, установленная 75 лет тому назад, несомненно, не в состоянии обнять все явления электромагнетизма, известные в настоящее время. С нашей точки зрения уравнения электромагнитного поля Максвелла только первые приближения, и их недостаточность в настоящее время происходит от того, что точность современных измерений в электротехнике неизмеримо возросла по сравнению с временами Фарадея, Максвелла, Герца со времени их установления. То же самое справедливо по отношению к уравнениям гидродинамики, данным 180 лет назад Эйлером и формально распространенным на случай движения газов: они явно недостаточны для представления тех быстрых движений воздуха, с которыми приходится иметь дело в авиации, особенно для вихревых движений. Уравнения Эйлера также представляют собой только первые приближения».
С этим утверждением нужно согласиться, поскольку любые уравнения отражают явление всегда приближенно и не учитывают тех сторон явлений, которые не поставлены исходной целью исследований.
На возможность моделирования бесциркуляционных и циркуляционных потоков жидкости обратил внимание в 1969 г. профессор Ленинградского института водного транспорта Г.А. Рязанов в своих фундаментальных работах «Опыт и моделирование при изучении электромагнитного поля» (М.Наука, 1966) и «Электрическое моделирование с применением вихревых полей» (М.Наука, 1969) [26]. Таким образом, правомерность использования аналогий между электромагнетизмом и гидродинамикой широко подтверждена практикой.
Однако все это касалось представлений об электрическом и магнитном полях как об идеальной жидкости, т. е. жидкости не вязкой и несжимаемой. Эфиродинамикой же показано, что строительный материал этих полей – эфир на самом деле является газоподобной средой, способной сжиматься и изменять свою плотность в широчайших пределах, это обстоятельство практически никогда и никем не было учтено [27]. Но именно это позволило объяснить сущность электрического заряда, уточнить энергетическое содержание электрического и магнитного полей и наметить пути для получения энергии из окружающего нас пространства.
Современная физика называет газ «сжимаемой жидкостью», что принципиально неверно, потому что газ обладает рядом свойств, которыми жидкость вовсе не обладает, например, наличием пограничного слоя в градиентных течениях, способностью вихрей самопроизвольно аккумулировать энергию из окружающего вихрь пространства и некоторыми другими. Это обстоятельство позволяет, с одной стороны, выяснить строение электрического и магнитного полей более полно, чем это можно сделать на базе аналогий с жидкостью, с другой стороны предсказать и проверить ряд явлений, до настоящего времени изученных недостаточно, а с третьей – найти новые направления исследований, некоторые из которых, несомненно, имеют перспективу, как в научном, так и в прикладном аспектах.
Как известно, каждая физическая величина имеет размерность.
Какова ее роль?
По мнению большинства физиков, включая и электриковтеоретиков, размерность служит средством установления соответствия между физическими величинами в уравнениях, описывающих физические, в том числе электромагнитные законы. Физического же смысла размерность не имеет. Такое мнение имеет под собой тот факт, что физический смысл многих физических величин до сих пор не установлен. Это в первую очередь касается теории электромагнетизма, в которой не выяснена сущность электрического заряда, сущность электрического и магнитного полей и других величин. Попытка найти эту сущность даже не возникает.
Так, например, в 21 томе Большой советской энциклопедии (3-е издание) на стр. 421 в статье «Размерность» [28] сказано:
«Размерность физической величины, выражение, показывающее во сколько раз изменится единица физической величины при изменении единиц величин, принятых в данной системе за основные».
И далее: «В ряде случаев Р. позволяет устанавливать связи между соответствующими величинами». И все. О том, что размерность отражает на самом деле физическую сущность величин речь вообще не идет [29, 30]! Но именно такой подход имеет далеко идущие последствия.
До недавнего времени в электротехнике использовались абсолютная электрическая система единиц СГСЭ, абсолютная электромагнитная система единиц СГСМ, а также абсолютная Гауссова система единиц, в которых основными единицами являлись сантиметр, грамм и секунда [31], но в системе СГСЭ абсолютная диэлектрическая проницаемость считается безразмерной и равной единице для вакуума:
в системе СГСМ абсолютная магнитная проницаемость считается безразмерной и равной единице для вакуума:
а в Гауссовой системе единиц абсолютная диэлектрическая и магнитная проницаемости считаются безразмерными и принимаются одновременно равными единице для вакуума:
В результате одна и та же электрическая или магнитная величина оказывается имеющей разную размерность. Например, количество электричества (электрический заряд) имеет размерность: в СГСЭ и Гауссовой системах единиц – см3/2·г1/2·с–1; а в системе единиц СГСМ – см1/2·г1/2; магнитный поток в системе единиц СГСЭ имеет размерность – см3/2·г–1, в СГСМ и Гауссовой системах единиц – см3/2 ·г1/2·с–1.
Наличие трех практически одновременно действующих систем электрических и магнитных единиц всегда вызывало большие трудности в расчетах, но главной трудностью являлось отсутствие какого бы то ни было физического смысла в этих единицах: как понимать, например, корень квадратный из грамма, или сантиметр, возведенный в степень 3/2 ?!
Международная система электрических и магнитных единиц МКСА, основанная на тех же представлениях, что и система МКС, о единицах массы – килограмме, длины – метре и времени – секунде, добавила к ним новую основную единицу – Ампер. Поскольку эта единица не имеет никакого наглядного представления, то и физический смысл ее не определен, отсюда и все электрические и магнитные величины, в размерность которых входит Ампер, также не могут иметь ни наглядного представления, ни физического смысла. К этому притерпелись, и это считается в порядке вещей.
Тем не менее, система единиц СИ имеет значительные преимущества по сравнению с системами СГСЭ, СГСМ и Гауссовой системой единиц.
В системе СИ приведенные выше величины имеют целочисленные степени: количество электричества – А·с; магнитный поток – м3·кг·А–1·с–2, так же как и все остальные электрические и магнитные величины. Однако недостатком системы МКСА попрежнему является отсутствие физического содержания в понятии «сила тока», а, в связи с этим, и в ее единице «Ампер», и далее во всех электрических и магнитных величинах.
Кроме того, в системе СИ имеют место безразмерные величины, например, радиан (рад) для плоского угла и стерадиан (ср) для объемного угла. Это основано на том, что радиан определен как отношение длины дуги, измеряемой в метрах, к длине радиуса, также измеряемой в метрах (рис. 1.1):
Но безразмерные величины физического смысла не имеют, и этот недостаток можно исправить, опираясь на представления об общих физических инвариантах, а проще говоря, вспомнив, что пространство трехмерно и сокращать размерности физических величин, лежащих в пространстве перпендикулярно друг другу, нельзя. На самом деле в радиане дуга, исчисляемая в метрах, перпендикулярна радиусу, также исчисляемому в метрах, и, хотя обе эти величины исчисляются в одинаковых единицах измерения – метрах, сокращать их на этом основании нельзя, следовательно, размерность радиана составит
[рад] = ML / MR.
То же относится и к стерадиану, размерность которого на самом деле составит:
[cp] = Mα·Mβ / M2R
Здесь также нельзя сокращать метры, стоящие в числителе, с метрами, стоящими в знаменателе, поскольку они перпендикулярны друг другу. Но теперь и радиан, и стерадиан приобрели четкий физический смысл. Правда, для большинства физических задач до сих пор это не имело большого значения, но именно потому, что был утрачен физический смысл самих этих задач.
Недостаток, связанный с появлением в системе измерений Ампера, не входящего в состав всеобщих физических инвриантов, также можно исправить, но опираясь уже на эфиродинамические представления о сущности электрического заряда [32].
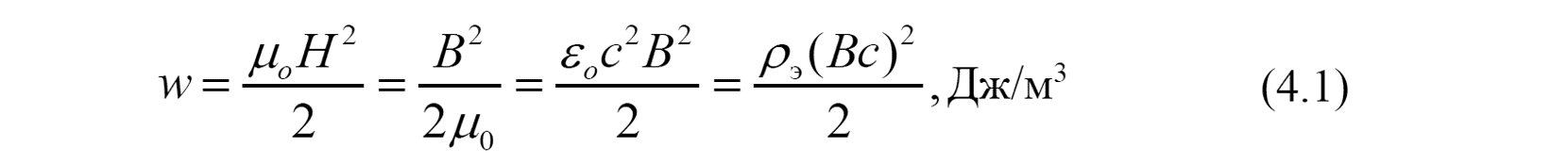
Сопоставляя удельную энергию электрического поля протона
с удельной энергией потока струи эфира
где ε0, Ф/м – диэлектрическая проницаемость вакуума, Е, В/м – напряженность электрического поля, ρэ, кг/м3 – плотность струи эфира, движущейся со скоростью vк, м/с (скорости эфира вблизи поверхности протона), получаем, что, поскольку показатели степеней ε0 и ρэ равны 1, то
что вполне соответствует взглядам О.Френеля (1823) применительно к теории неподвижного эфира. Таким образом, впервые оказалось возможным просто и точно определить плотность эфира в околоземном пространстве.
Из теоремы Гаусса [33] (рис. 1.2) следует, что электрическое смещение D определяется как
где q – электрический заряд, S – площадь поверхности, охватывающей заряд, откуда
Здесь S = 4πR2, R – радиус сферы, сквозь которую проходит поток электрического смещения D; vк – скорость потока эфира на расстоянии R от центра протона.
На поверхности протона R = Rр, т. е. радиусу протона, vк = vкр – скорости движения эфира на поверхности протона.
Таким образом, определяется физический смысл электрического заряда:
электрический заряд есть циркуляция плотности потока кольцевой скорости эфира по всей поверхности частицы,
Отсюда размерность электрического заряда в системе МКС составляет
Исходя из изложенного, может быть определена размерность электрического тока. Поскольку
то размерность значения единицы электрического тока – Ампера определится как
Это дает основание для перевода всех электрических и магнитных величин из системы МКСА (метр, килограмм, секунда, Ампер) в механическую систему МКС (метр, килограмм, секунда), что существенно облегчает представления о физической сущности каждой из них.
Перевод единиц физических величин из системы МКСА в систему МКС осуществляется путем замены единицы силы тока Ампер [A] размерностью [кг·с–2].
В таблице 1.1 приведены единицы измерений основных электрических и магнитных величин в системе единиц МКС.
Здесь следует обратить внимание на несколько моментов.
В системе МКС магнитная индукция оказывается безразмерной, если не учитывать того, что вектор магнитной индукции перпендикулярен скорости ее распространения. Если же это учесть, то оказывается, что магнитная индукция есть скорость движения эфира перпендикулярно вектору магнитной индукции В и перпендикулярно направлению распространению магнитного поля, отнесенная к скорости ее распространения, равной скорости света с, перпендикулярной вектору В. Но в обеих этих скоростях присутствует время, выраженной в секундах. В отличие от трехмерного пространства, время одномерно, поэтому его можно сократить, и для индукции остается размерность
В отличие от существующей системы МКСА, в которой построение наглядных моделей затруднительно, в системе МКС для всех электрических и магнитных величин появляется возможность механического моделирования, достаточно наглядного для понимания их физического смысла.
Поскольку все попытки измерения скорости потоков эфира вдоль вектора В магнитной индукции ничего не дали, можно предположить, что такого распространения нет вообще. Тогда остается единственный вариант: магнитная линия магнитной индукции представляет собой набор винтовых тороидов, а скорость потока эфира на поверхности каждого такого тороида и определяет величину магнитной индукции:
Таблица 1.1
| Величина | Название единицы | Обозначение | Единица измерения в МКСА* | Единица измерения в МКС* |
| Электрические величины | ||||
|---|---|---|---|---|
| Работа и энергия | Джоуль | Дж | м2·кг·с–2 | кг·м2·с–2 |
| Мощность | Ватт | Вт | м2·кг·с–3 | кг·м2·с–3 |
| Количество электричества (электрический заряд) | Кулон | Кл | А·с | кг·с–1 |
| Сила тока | Ампер | А | А | кг·с–2 |
| Поток электрического смещения (индукции) | Кулон | Кл | А·с | кг·с–1 |
| Электрическое смещение (индукция) | Кулон на квадратный метр | Кл·м-2 | А·с·м-2 | кг·м2·с–2 |
| Напряжение, разность потенциалов, электродвижущая сила | Вольт | В | м2кг·А–1·с–3 | м2·с–1 |
| Электроемкость | Фарада | Ф | А·с4·м-2·кг-1 | кг·м-2 |
| Электрический момент | — | Кл·м | А·с·м | кг·м·с-1 |
| Вектор поляризации (поляризованность) | — | Кл·м-2 | А·с·м-2 | кг·м-2·с–1 |
| Электрическая проницаемость | Фарада на метр | Ф·м–1 | А·с4·м-3·кг-1 | кг·м-3 |
| Напряженность электрического поля | Вольт на метр | В·м-1 | м·кг·А-1·с-3 | м·с–1 |
| Электрическое сопротивление | Ом | Ом | м2·кг·А-2·с-3 | кг·м2·с-3 |
| Удельное электрическое сопротивление | — | Ом·м | м3·кг·А-2·с-3 | кг·м3·с-2 |
| Удельная электрическая проводимость | — | Ом-1·м-1 | А2·с3·м-3·кг-1 | кг-1·м-3·с2 |
| Подвижность ионов | — | м2·В-1·с-1 | А·с2·кг-1 | — |
| Магнитные величины | ||||
| Магнитный поток | Вебер | Вб | м3·кг· А-1·с-2 | м2 |
| Магнитная индукция | Тесла | Тл | кг· А-1·с-2 | мВ·мс-1 |
| Магнитный момент | — | А·м2 | А·м2 | кг·м2·с-2 |
| Вектор интенсивности намагничения (намагниченность) | — | А·м-1 | А·м-1 | кг·м-1·с-2 |
| Индуктивность и взаимная индуктивность | Генри | Гн | м2·кг· А-1·с-2 | кг-1·м2·с2 |
| Магнитная проницаемость | Генри на метр | Гн·м-1 | м·кг·А-2·с-2 | кг-1·м·с2 |
| Напряженность магнитного поля | Ампер на метр | А·м-1 | А·м-1 | кг·м-1· с-2 |
| Магнитодвижущая сила | Ампер или Ампервиток | А или Ав | А | кг·с-2 |
| Магнитное сопротивление | — | А·Вб-1 или АВ·Вб-1 | А2·с2·м-2·кг-1 | кг· м-2·с-2 |
*По данным Справочника по физике для инженеров и студентов вузов. М., Наука, 1971 [30, с. 892-909].
1. Представления об электричестве и магнетизме сопровождают всю историю естествознания с древнейших времен, но настоящее развитие науки об электричестве и электромагнитных явлениях началось только в 17 веке, а теоретическое и экспериментальное обоснование эта область науки получила только в 19 столетии, когда к изучению электромагнитных явлений подключилось множество европейских и американских исследователей. Основным теоретическим трудом, подводящим итоги достигнутому, явился «Трактат об электричестве и магнетизме», разработанный Дж.К.Максвеллом и изданный в 1873 г. Полученные результаты, обобщающие труды многих исследователей того времени, явились теоретической основой всех известных на сегодня электромагнитных явлений и получили всестороннюю проверку практикой.
2. Парадоксы и трудности решения некоторых задач электродинамики связаны с несовершенством уравнений электромагнитного поля, базирующихся на модели идеализированного (невязкого и несжимаемого) эфира. Совершенствование уравнений электромагнитного поля и законов электромагнетизма возможно лишь на основе уточнения исходных моделей, в частности, связанного с учетом реальных характеристик эфира, его вязкости и сжимаемости.
3. С сожалением следует отметить, что физические основы теоретической электротехники после работ Максвелла не развивались, что привело, во-первых, к полному непониманию физической сущности электромагнетизма, а во-вторых, к не использованию в прикладных целях многих реально существующих электромагнитных явлений.
4. В связи с тем, что исходными физическими инвариантами являются составляющие движения – материя, пространство и время, чему в механике соответствует система единиц МКС (метр, килограмм, секунда), система единиц МКСА (метр, килограмм, секунда, Ампер), принятая в электродинамике, оказывается избыточной и затрудняющей понимание физической сущности процессов электромагнетизма. На основании разработанных моделей электромагнетизма система МКСА преобразована в систему МКС, носящую чисто механический характер, и на этой основе создать возможность представления электромагнитных величин в виде тех или иных форм движения эфира, что в определенной степени позволило уяснить их физический смысл.
Эфир – это физическая среда, заполняющая все мировое пространство. Эфир является строительным материалом для всех без исключения форм вещества, движения эфира воспринимаются как силовые поля взаимодействий. Автором настоящей работы создано новое направление теоретической физики – эфиродинамика [1]. Этому направлению принадлежит серьезное будущее, поскольку оно продолжает многовековую линию проникновения человеческого познания вглубь материи.
Представления об эфире сопровождали всю историю человечества. По свидетельству Александра Меня все религии мира в том или ином виде признавали наличие в природе некоей невидимой сверхъестественной силы способной создавать и разрушать миры.
Есть все основания полагать, что, по крайней мере, в 6-4 веках до нашей эры, а, вероятнее всего, и значительно ранее, идеи эфира были распространены достаточно широко. По представлениям древних материалистических учений эфир един и вечен. Материя состоит из мельчайших частиц, обладающих подвижностью и образующих атомы. Все события происходят в пространстве и во времени.
Известный древнегреческий философ Фалес из древнегреческого города Милет, основатель первой в мире Академии, полагал, что природа едина и что в основе этого единства лежит физическая среда апейрон (неопределенное), обладающая свойствами жидкости. Именно наличие этой среды обеспечивает единство всего мира. Левкипп и его ученик Демокрит считали, что все вещи состоят из атомов (не разрезаемых, а никак не неделимых!), но сами атомы состоят из áмеров (не имеющих меры), которые римский поэт-раб Тит Лукреций Кар называл «первоначалами» («Первоначала вещей в пустоте необъятной мятутся…).
Наука во все последующие столетия не ставила под сомнение существование в природе эфира, не очень, правда, отдавая себе отчет о его сущности. Француз Декарт создал модель Вселенной, в которой все было построено из эфирных вихрей. Англичанин Ньютон много лет пытался понять природу эфира, свойства которой объясняли бы и гравитационные, и оптические явления. Потерпев в этом неудачу, он гордо воскликнул: «Гипотез мы не измышляем!», что означало его поражение в этом вопросе. С этого времени ученые разделились на два лагеря – признающие эфир (картезианцы), сторонники «близкодействия», т. е. передачи возмущения от одной точки пространства к другой, и отрицающие эфир – отрицающие эфир как ненужную для передачи возмущений среду (ньютонианцы), сторонники «дальнодействия» (action in distance). Но в 19 столетии был создан ряд моделей, гипотез и теорий эфира, правда, не выясняющих его свойства, а постулирующие их. Все они потерпели поражение, в первую очередь, потому, что их авторы не пытались вывести свойства эфира из объективных данных, а постулировали отдельные свойства эфира, фактически исключив физическую модель и заменив ее абстрактной математической моделью.
У Д.И.Менделеева в его Периодической таблице эфир занимал «нулевую строку», которая впоследствии была исключена (не им!) из таблицы.
В 8-м томе Большой Британской энциклопедии Дж.К.Максвелл поместил статью о том, что поскольку эфир абсолютно неподвижен в пространстве (теория Френеля-Лоренца), то на поверхности Земли из-за орбитального движения эфира должен наблюдаться встречный ветер со скоростью 30 км/с [5]. Соответствующий эксперимент был поставлен американцами А.Майкельсоном и Э.Морли [2. c. 6—42], но результаты оказались значительно меньше ожидаемых (но не нулевыми!), что впоследствии сторонниками Теории относительности Эйнштейна объявлены «нулевыми». А когда профессор Кейсовской школы прикладной науки Д.К.Миллер, проделав гигантскую работу, определил направление и скорость эфирного ветра на разных высотах [2, c. 62—95, 185—259] то его результаты просто объявили «не признанными». Это оказало решающее влияние на все дальнейшее развитие естествознания, которое было направлено по ложному пути, в конце концов, приведшее естествознание в тупик. Подлог обернулся преступлением против науки.
В настоящее время работы по поиску эфирного ветра продолжаются. Наибольшие успехи в этом направлении получены Ю.М.Галаевым [3]. Результаты его исследований полностью соответствуют исследованиям Д.К.Миллера 1921—1925 гг.
Следует напомнить, что Дж.К.Максвелл вывел свои знаменитые уравнения из представлений о существовании в природе единой мировой среды – эфира, который тогда считался абсолютно идеальной жидкостью. Аналогичной позиции придерживался и советский академик-электротехник В.Ф.Миткевич [4].
Сегодня переход к эфиродинамическим представлениям о сущности физических явлений, в том числе электромагнитных, более чем необходим. Проникновение во все большие глубины строения материи всегда было основной линией развития естествознания, переход от элементарных частиц вещества к их строительному материалу и тем самым к эфирным представлениям о внутреннем механизме явлений подготовлен всем развитием физики 20-го столетия. Переход к таким представлениям не только приведет к пониманию внутренней физической сущности явлений, но и позволит создать принципиально новые технологии.
На основании имеющихся сегодня данных выяснен не только тот факт, что эфир существует в природе, но и то, что он представляет собой обычный реальный, т. е. вязкий и сжимаемый газ. Хотя этот газ имеет существенно более тонкую структуру, чем известные сегодня газы, но на него так же, как и на все газы, распространяются зависимости обычной газовой механики.
С учетом существенного различия в диаметре амера и длине его свободного пробега эфир как газ по своим свойствам должен приближаться к классическому идеальному газу, по крайней мере, в свободном от вещества, образованного уплотненными эфирными вихрями, пространстве. Можно полагать, что для этого газа достаточно близкой является статистика Больцмана для координат и импульсов амера, а распределение скоростей, видимо, близко описывается распределением Максвелла, хотя наличие вязкости все же говорит и о некоторых отличиях в распределении параметров эфира от указанных. Рассчитанные по формулам газовой механики параметры эфира приведены в табл. 2.1.
Все произведенные вычисления и полученные значения являются ориентировочными.
Таблица 2.1.
| Параметр | Величина | Единица измерения |
| Эфир в целом | ||
|---|---|---|
| Плотность | ρэ = 8,85·10–12 | кг·м-3 |
| Давление | P > 1,3·1036 | Н·м–2 |
| Удельное энергосодержание | w > 1,3·1036 | Дж·м–3 |
| Температура | T < 10–44 | K |
| Скорость первого звука | V1 > 4,3·1023 | м·с–1 |
| Скорость второго звука | v2 = с = 3·108 | м·с–1 |
| Коэффициент температуропроводности | a ≈ 4·109 | м2·с–1 |
| Коэффициент теплопроводности | kт ≈ 1,2·1089 | кг·м·с–3·К–1 |
| Кинематическая вязкость | χ ≈ 4·109 | м2·с |
| Динамическая вязкость | Η ≈ 3,5·10–2 | кг·м–1·с–1 |
| Показатель адиабаты | 1 – 4 | – |
| Теплоемкость при постоянном давлении | cP > 1,4·1091 | м2·с–2·К–1 |
| Теплоемкость при постоянном объёме | cV > 1091 | м2·с–2·К–1 |
| Амер (элемент эфира) | ||
| Масса | mа < 1,5·10-114 | кг |
| Диаметр | dа < 4,6·10–45 | м |
| Количество в единице объема | nа > 5,8·10102 | м-3 |
| Средняя длина свободного пробега | λа < 7,4·10-15 | м |
| Средняя скорость теплового движения | uа ≈ 5,4·1023 | м·с–1 |
Как показано в [1, с. 185],основной частицей микромира является протон. Протон представляет собой винтовой тороидальный вихрь эфира, т. е. вихревую трубу, замкнутую саму на себя в кольцо. Центральная часть протона уплотнена, его стенки тонкие и тоже уплотнены. Поскольку в центральной части протона скорость потока вдоль оси существенно превышает скорость потока эфира параллельной этой оси на периферии, то у протона центральная его часть вытянута в одном направлении и по форме он должен напоминать луковицу.
Тороидальный винтовой вихрь выдувает из своей середины – центрального канала – винтовой поток эфира. В центре протона поток эфира практически не имеет градиента скоростей, зато он сжат, и это означает, что температура эфира в этом месте и вязкость повышены, они имеют хорошее сцепление с телом самого протона, и поэтому протон работает как двигатель, перегоняющий сквозь себя окружающий его эфир. Поступательное движение этого потока преобразуется в тороидальное движение эфира вокруг тела протона. Это движение во внешнем относительно протона пространстве подчинено закону Био–Савара, т. е. тому же закону, что и магнитное поле протона, его скорость убывает обратно пропорционально кубу расстояния.
Убывание скорости кольцевого движения потоков эфира, размываемого тороидальным движением пропорционально квадрату расстояния.
Скорость потока эфира в центре протона и на его периферии одна и та же и составляет порядка 1,6·1021 м·с–1.
Протон может находиться в одном из трех состояний (рис. 2.2.):
– в виде собственно протона, в этом состоянии протон пропускает сквозь себя эфир, выдувает его и эфир в виде винтовой оболочки окружает протон; знак винтового движения эфира в окружающем протон пространстве тот же, что и знак винтового движения эфира в теле протона; это винтовое движение окружающего протон эфира воспринимается как электромагнитное поле протона;
– в виде нейтрона (только в составе атомного ядра, вне его нейтрон превращается в протон); кольцевое движение экранируется пограничным слоем и во вне не проходит, тороидальное движение эфира частично экранируется пограничным слоем, но, в основном, выходит за его пределы, поэтому магнитный момент нейтрона почти такой же, как и у протона;
– в виде атома водорода, когда выдуваемый им поток эфира не полностью проходит через его центральное отверстие, а замыкается во вне, образуя присоединенный вихрь – его электронную оболочку; знак винтового движения эфира в этом присоединенном вихре противоположен тому, который имеют винтовые потоки эфира в теле протона. Размер присоединенного вихря органичен только условиями устойчивости и в реальности на пять порядков превышают размеры самого протона, их создавшего: диаметр протона равен 2,24·10–15м, диаметр атома водорода ≈ 10–10м.
В сложных атомах каждый протон сам себе создает присоединенный вихрь – свою электронную оболочку, чем и объясняется тот факт, что число электронов в атоме всегда точно равно числу протонов. Если один из присоединенных вихрей вырвать из атома, то в нем в этом месте восстанавливается поток эфира. проходящий через центр протона, что и воспринимается как ионизация атома.
В соответствии с законом Био–Савара тороидальное движение, создаваемое одним из протонов в свободном эфире, убывает пропорционально кубу расстояния (5.75), что точно соответствует зависимости убывания магнитного поля от расстояния между протонами (закон Био–Савара), а кольцевая – пропорционально квадрату расстояния, что точно соответствует убыванию электрического поля (теорема Остроградского–Гаусса и закон Кулона).
Если второй протон попал в поле тороидальных скоростей первого протона, то на него начинает действовать со стороны потока эфира момент сил, разворачивающий его в направлении, антипараллельном первому протону Это происходит вследствие того, что только такое положение оказывается устойчивым, поскольку по всей периферии второго протона устанавливается максимум градиента скоростей и, как следствие, минимум давления эфира.
Кольцевое же движение убывает пропорционально квадрату расстояния и при антипараллельном расположении нуклонов относительно друг друга и одинаковом винтовом факторе оно приводит к их отталкиванию друг от друга.
Поскольку убывание скорости тороидального движения каждого из них пропорционально кубу расстояния от центров нуклонов, то при установившей антипараллельной ориентации протонов друг относительно друга внешнее давление эфира придавливает протоны друг к другу, в этом и заключается физическая сущность сильного ядерного взаимодействия. Однако при этом кольцевые потоки эфира, создаваемые в пространстве этими же протонами оказываются параллельными в межпротонном пространстве, здесь градиента скоростей нет и поэтому давление здесь максимальное, что заставляет протоны отталкиваться друг от друга. Таким образом, на оба взаимодействующих протона одновременно действуют две силы – приталкивающая, вызванная антипараллельными потоками тороидального движения эфира и отталкивающая, вызванная параллельными потоками кольцевого движения эфира.
При малых расстояниях друг от друга в пределах толщины пограничных слоев нуклоны притягиваются (подталкиваются внешним давлением эфира) друг к другу, при больших – отталкиваются друг от друга давлением эфира между нуклонами, имеющим значение большее, чем давление эфира на их противоположных сторонах (рис. 2.3). Как показано в [1, с. 196], величина зазора между протонами в равновесном положении составляет
Δ = 0,25 Ф = 2,5·10–16м
Реально этот зазор составляет от 0,1Ф до 0,2Ф, т. е. несколько меньше, что может быть объяснено деформацией самих нуклонов под воздействием друг друга, а также не полным учетом других факторов. Во всех случаях полученный результат имеет неплохое совпадение с реальными соотношениями в ядрах атомов.
При расстояниях меньших, чем суммарная толщина пограничных слоев обоих нуклонов, их тороидальные потоки перемешиваются, давление возрастает, и взаимодействующие нуклоны останавливаются вблизи точки равновесия.
Таким образом, можно утверждать, что сильное ядерное и электромагнитное взаимодействия имеют единый механизм и только проявляются по-разному при разных расстояниях между взаимодействующими нуклонами.
На расстоянии, превышающим размер от поверхности нуклона до точки равновесия, притяжения нуклонов друг к другу уже нет, но влияние на их взаимную ориентацию еще остается. Пространственные винтовые потоки эфира, созданные одним протоном, взаимодействуют с поверхностными винтовыми потоками тела второго протона и вынуждают его развернуться в антипараллельном направлении, то же происходит и с первым протоном, на который воздействуют тороидальные потоки эфира, создаваемые вторым протоном. В результате оба протона развернутся антипараллельно друг другу. В результате такой ориентации оказывается, что кольцевая составляющая движения эфира у обоих протонов в промежутке между ними направлена в одном направлении (рис. 6.8а). Поэтому тороидальная составляющая потоков эфира обеспечивает разворот протонов к антипараллельному расположению относительно друг друга, а кольцевая составляющая – отталкивание.
Скорость кольцевого движения (vк) при заданной тороидальным вихрем интенсивности кольцевого движения bГк, где b – ширина тороида, Гк – циркуляция скорости по его поверхности, убывает пропорционально плотности эфира ρ и квадрату расстояния r:
где b – ширина тороида; Гк – циркуляция кольцевого движения по экватору тороида, то и сила, действующая на приталкивание и отталкивание тороидов, будет пропорциональна произведению ширин и циркуляций обоих тороидов и обратно пропорциональна квадрату расстояний между их центрами:
что и описано законом Кулона.
Сопоставляя взаимодействие тороидальных вихревых винтовых колец с поведением заряженных частиц, можно сделать следующие заключения.
1. Поскольку ориентация частиц определяется тороидальным движением, то магнитный момент частиц отождествляется с тороидальным движением эфира на ее поверхности и определяется как произведение величин плотности эфира в окружающем пространстве ρэ, скорости света с, скорости тороидального движения на экваторе поверхности протона vт и объема протона Vp:
2. Электрический заряд есть проявление кольцевого движения эфирных потоков на поверхности протона. Величина электрического заряда частицы представляет собой циркуляцию плотности эфира на поверхности пограничного слоя и составляет
3. Поскольку факт притяжения или отталкивания определяется ориентацией кольцевого вращения относительно тороидального, то полярность заряда следует отождествлять с ориентацией кольцевого движения относительно тороидального (т.е. со знаком винтового движения).
4. Поскольку сильное ядерное взаимодействие в ядре атома происходит между нуклонами, соприкасающимися своими пограничными слоями, то физической сущностью сильного ядерного взаимодействия следует считать прижатие нуклонов друг другу внешним давлением эфира вследствие падения давления эфира в межнуклонном пограничном слое в результате значительного градиента скоростей в пределах этого пограничного слоя.
5. Сущностью электромагнитного взаимодействия протонов является взаимное изменение давлений эфира на поверхностях нуклонов, производимое ими дистанционно.
6. Сильное ядерное и электромагнитное взаимодействия в своей основе имеют общий эфиродинамический механизм и различаются лишь величиной возникающих на поверхностях нуклонов
снижений давления эфира вследствие различий в градиентах скоростей эфирных потоков в пространстве между нуклонами.
7. Несмотря на то, что в современной физике сильное ядерное взаимодействие нуклонов и их электромагнитное взаимодействие относятся к разным фундаментальным взаимодействиям и их константы взаимодействий разнятся на 36 порядков, на самом деле они имеют общий механизм.
В 1927 г. датский физик О.Бурро выполнил квантовомеханический расчет молекулярного иона водорода Н2+ и показал, что единственный электрон в этом ионе занимает орбиталь, которая простирается вокруг обоих протонов. Теоретический расчет энергии связи этого молекулярного иона, т. е. разности между суммарной энергией отдельного атома и протона и энергией иона в его основном состоянии привел к значению 255 кДж/моль.
С учетом того, что число молекул в моле составляет 6,022·1023 (число Авогадро) получаем, что энергия связи двух атомов в ионе молекулы составляет 4,23·10–19 Дж = 2,68 эВ на одну молекулу Н2+.
Следует отметить, что так называемая энергия сродства атомов и молекул к электрону есть энергия связи электрона в соответствующем отрицательном ионе – минимальная энергия, затрачиваемая на отрыв электрона от атома или молекулы. Эта энергия составляет для иона водорода Н– 0,754 эВ, и для всех ионов лежит в пределах от 0,15 эВ (Сr–) до 3,62 эВ (Cl–), т. е. порядок величин составляет единицы и доли электронВольт.
Для сравнения напомним, что энергия связи двух нуклонов = протона и нейтрона в ядре атома дейтерия составляет 2,3 МэВ, то есть на 6 порядков больше.
Рассмотрим природу химических связей атомов в молекуле с позиций эфиродинамики.
Присоединенные вихри различных атомов могут соединяться между собой лишь двумя способами (рис. 2.5).
В первом случае (рис. 2.5а) вихри удерживаются относительно друг друга в общем пограничном слое, образованном благодаря противоположно направленным потокам эфира. Как было показано выше, благодаря градиенту скоростей между вихрями давление понижается, и внешнее давление эфира прижимает вихри друг к другу. Какого-либо преобразования вихрей, кроме изменения их формы, здесь не возникает. Данный случай соответствует ионной химической связи.
Во втором случае соединение двух вихрей дает единый вихрь (рис. 2.5, б). В винтовых потоках это возможно лишь тогда, когда их винтовые факторы совпадают. Это означает, что в присоединенных вихрях и тороидальные, и кольцевые движения должны иметь одно и то же направление в плоскости соединения. Тогда образуется единый присоединенный вихрь, охватывающий оба соединившихся атома. В этом общем присоединенном вихре давление меньше, чем в окружающей среде, а длина потока меньше суммы длин потоков в обоих присоединенных вихрях отдельных атомов. Данный случай соответствует ковалентной связи.
Изложенное позволяет предположить возможность образования ионных связей при любых винтовых факторах в присоединенных вихрях, если у реагирующих молекул потоки эфира на их поверхностях могут ориентироваться антипараллельно на достаточной площади. Для ковалентной же реакции обязателен одинаковый винтовой фактор.
Принцип построения молекулы лучше всего проиллюстрировать на примере молекулы Н2 (рис. 2.6). Возможны разные варианты построения молекулы Н2 – при параллельных и антипараллельных спинах протонов, перпендикулярных и соосных оси, проходящей через центры протонов.
Как видно из рис. 2.6, внешние потоки имеют одно и то же направление и в тороидальном, и в кольцевом движении. Именно этот случай и следует рассматривать как основной случай образования молекулы Н2. Образование общего внешнего потока указывает на ковалентность химической связи, что и имеет место в действительности. Аналогичным образом можно получить структуры и других молекул (рис. 2.7).
Детальное изучение форм связи в молекулах в эфиродинамической модели является предметом специального исследования, однако уже сейчас можно высказать некоторые дополнительные соображения.
При образовании ковалентной связи суммарная линия тока общего присоединенного вихря оказывается короче суммы длин линий токов раздельных атомов, в момент образования ковалентной химической связи часть уплотненного завинтованного эфира оказывается выброшенной из молекулы. Такой кусочек вихря не может существовать в том же виде, и он либо будет поглощен в другом месте, где идет реакция разложения молекул, либо преобразуется в тороидальный вихрь слабо сжатого эфира, который можно условно назвать лептоном, поскольку его масса меньше массы электрона. Расчет показывает, что масса такого тороида составляет порядка 0,0001 массы электрона, но диаметр его составляет порядка 0,01 мм. Для проверки этого обстоятельства был организован лабораторный эксперимент (рис. 2.8).
Были построены специальные крутильные весы, на одном из плеч коромысла которых закреплена алюминиевая пластина (парус), соединенный с металлическим корпусом весов через 10-мегомное сопротивление во избежание возможного влияния электростатики. Корпус весов заземлялся на батарею парового отопления (рис. 2.8)..
Пластмассовый цилиндр устанавливался напротив паруса на расстоянии 10 см. Реагировали сухая щелочь КОН и концентрированная серная или соляная кислота.
При проведении реакции парус сначала притягивался к реакции, а затем, после ее окончания, отходил от нее на максимальное расстояние (до упора) и через 1,5–2 ч. возвращался обратно.
Тот же результат получался, если реакция проводилась в том же стаканчике, установленном на деревянном или пенопластовом кубике вдали от весов. Поднесение затем этого кубика к весам давало тот же результат. Все фиксировалось автоматическим самописцем.
Объяснение результатов эксперимента заключается в том, что при проведении химической реакции и образовании лептонной пены лептоны касаются паруса. Поскольку движение эфира на поверхности лептонов при любой их ориентации всегда параллельно плоскости паруса, то образуется градиент скоростей эфира с пониженным давлением. Парус начинает притягиваться к реагирующим веществам.
(К традиционным лептонам это не имеет отношения, просто надо было это как-то назвать. — VVU)
После окончания реакции лептонная пена начинает диффундировать, причем в первую очередь уничтожаются лептоны, оказавшиеся в верхнем слое пены, поскольку градиент скоростей на их поверхности меньше, чем у внутренних лептонов, следовательно, вязкость выше и время существования поверхностных лептонов меньше. Но лептоны, как и всякие вихри, имели плотность эфира более высокую, чем плотность эфира в свободном пространстве. Поэтому давление эфира возрастает, и парус отодвигается. После того как все лептоны диффундировали, давление в эфире выравнивается, и пружинка возвращает коромысло весов в исходное состояние. Различные вещества дают различное отклонение, но характер поведения весов сохраняется.
Эксперименты с «лептонной пеной» были продолжены Ю.Д.Лобаревым, студентом химфака МГУ. Им было открыто, что «лептонная пена» приводит к снижению чувствительности фотобумаги, а также то, что конденсаторы, расположенные рядом со стаканчиком, в котором проводилась химическая реакция, в первые же секунды после начала реакции увеличивают свою емкость почти на 1%, а затем, после окончания реакции, происходит медленный, в течение десятков минут возврат значения емкости к первоначальному значению.
Физическая сущность электро- и теплопроводности хорошо объясняется электронной теорией, разработанной немецким физиком П.Друде [5] и нидерландским физиком Г.А.Лоренцем [6].
В металлах атомы соединены друг с другом электронными оболочками, образуя в пределах одного домена сплошную систему типа большой молекулы, такие связи называются металлическими и по типу наиболее близки к ковалентному типу связей [6]. Это приводит к тому, что при соединении атомов длина эфирного потока у молекулы, состоящей всего из двух атомов, оказывается меньше, чем сумма длин путей эфирных потоков у атомов до соединения. Поэтому при соединении атомов в молекулу часть уплотненного завинтованного эфира выбрасывается из образовавшейся молекулы. В отличие от обычной ковалентной связи, при образовании которой выброшенная часть эфирного потока замыкается сама на себя, в металлах этот поток стимулирует организацию электрона за счет потоков эфира, оказавшихся между атомами (рис. 2.9).
Образованный свободный электрон начинает хаотически перемещаться в межмолекулярном пространстве в пределах оболочки Ван-дер-Ваальса, соударяясь с электронными оболочками молекул и обмениваясь с ними энергией. При этом часть электронов выходит на поверхность металла и, устанавливаясь в шахматном порядке антипараллельно относительно друг друга, образует так называемую «поверхность Ферми» (рис. 2.10).
Какова может быть структура электрона? Это может быть только вихревой эфирный тороид, знак винтового движения эфира в теле электрона должен быть противоположным знаку винтового движения эфира в теле протона. Если в протоне реализовано движение правовинтовое, то в электроне левовинтовое или наоборот. Какие именно они на самом деле, предстоит выяснить в будущем.
Электрон должен иметь переменные размеры в зависимости от окружающих условий. В свободном пространстве сжатие его эфиром будет происходить до тех пор, пока не наступит равновесие между его внутренним и центробежным давлением и давлением внешним. Предполагая, равенство критических плотностей эфира в протоне и свободном электроне можно предположить, что размер электрона составит
Но в металле этот размер может изменяться в широких пределах в зависимости от того, в какие потоки эфира, создаваемые атомами металла, он попадет: чем интенсивнее поток эфира, т. е. чем больше плотность эфира в потоке и чем выше его скорость, тем больше будет снижаться давление эфира на поверхности электрона и тем больше станет размер электрона. При выходе электрона из металла в свободное пространства он сожмется давление окружающего эфира до указанной выше величины.
Поскольку электрон находится в непрерывном тепловом движении внутри металла, он соударяется с молекулами. отбрасывается по законам прямого соударения и после каждого удара меняет свою ориентацию в пространстве. Поэтому все электроны в металле, находясь в непрерывно движении, в среднем ориентированы хаотично, что и объясняет тот факт, почему вокруг металлических образцов, не подключенных к источникам напряжения, нет магнитного поля.
Согласно электронной теории, свободные электроны в металлических проводниках образуют электронный газ. Двигаясь хаотично в межатомном пространстве тела проводника, электроны соударяются с поверхностями атомов и молекул, обмениваясь с ними импульсами и тем самым поддерживая общую для всего тела температуру. Именно наличие и подвижность электронного газа обеспечивает высокую теплопроводность металлических проводников.
Однако при этом возникают вопросы, что представляет собой теплота твердого тела, в чем заключается механизм температуры твердого тела, что является в твердом теле носителем теплоты и чем физически теплота твердого тела отличается от теплоты газа.
В соответствии с электронной теорией свободные электроны, двигаясь хаотически между молекулами тела, непрерывно обмениваются с ними импульсами, чем способствуют выравниванию температуры в металле с высокой скоростью, что и отличает металлы от неметаллов – высокое значение коэффициента теплопроводности.
Тепловая скорость перемещения электронов в металле определится выражением
где me = 0,9108·10–30кг – масса электрона, откуда находим, что при температуре 20°С (293,3°К) средняя скорость теплового движения электрона составит 115,45 км/с.
Имея в виду, что количество электронов в металле должно быть равно количеству атомов, то их число в единице объема, как и атомов, составляет порядка n = 1028—1029м–3. Если бы электронный газ существовал сам по себе, то средняя длина свободного пробега электрона была бы равна
где σe – площадь поперечного сечения электрона, величина которой составляет около 10–30м2. Следовательно, длина свободного пробега должна была бы иметь величину порядка единиц метров, в то время как расстояние между центрами молекул составляет величину порядка 10–10м. Это означает, что электроны в металле никак не взаимодействуют между собой, а каждый непрерывно соударяется с поверхностями молекул, около которых он находится, и перемещается между молекулами.
В соответствии с той же электронной теорией уже в современном ее изложении коэффициент теплопроводности металлов и сплавов можно оценить, используя закон Видемана–Франца [7]
где Lo = 2,445·10–8 Вт·Ом/К2 – число Лоренца; σ Ом·м–1 – электропроводность; Т – абсолютная температура.
Это соотношение, утверждающее пропорциональность теплопроводности и проводимости металлов и их сплавов, подтверждено широкой практикой и вошло в справочники как основа, хотя и не всегда точная, поскольку существуют еще и другие факторы, влияющие на указанное соотношение. Тем не менее, можно считать, что электронная теория металлов подтверждена. В соответствии с этой теорией электропроводность равна
или для удельного сопротивления
где n – концентрация электронов в единице объема; e – заряд электрона; τ – время свободного пробега, mе – масса электрона. С ростом температуры частота соударений электрона с поверхностями молекул увеличивается и время свободного пробега соответственно уменьшается. Отсюда и снижение проводимости, и соответствующий рост удельного сопротивления металлов.
Таким образом, совместные представления электронной теории и эфиродинамики позволяют уяснить механизм электропроводности металлов и его связь с теплопроводностью. На этой основной процесс, как и везде, накладываются дополнительные процессы, приводящие к отклонениям от основного закона, которые должны рассматриваться отдельно.
1. Эфир, заполняющий все мировое пространство и являющийся строительным материалом для всех вещественных образований, представляет собой тонкий реальный, т. е. сжимаемый в широких пределах вязкий газ, на который распространяются все закономерности обычных реальных газов, что дало возможность определить его параметры для околоземного пространства. Существование эфира в природе подтверждено рядом экспериментов, среди которых в первую очередь нужно отметить работы выдвющегося американского ученого Д.К.Миллера, измерившего скорость и направление эфирного ветра в 1925 году.
2. На базе эфиродинамических представлений определены структура и параметры основных частиц микромира – протона, нейтрона и электрона и их взаимодействий друг с другом. При этом выяснилось, что сильное ядерное и электромагнитное взаимодействия имеют общий механизм, который на малых расстояниях до 2·10–15м между нуклонами проявляется как сильное ядерное взаимодействие, а на бóльших – как электромагнитное взаимодействие.
3. Все известные электромагнитные явления можно интерпретировать с позиций газовой динамики эфира, при этом электрический заряд интерпретируется как циркуляция кольцевой скорости плотности эфира по всей поверхности винтового тороидального вихря – протона или электрона; полярность – как знак винтового движения эфира вокруг заряда;; электрическую проницаемость вакуума можно интерпретировать как плотность эфира в свободном от вещества пространстве; электрическую проницаемость веществ – как свойство веществ увеличивать плотность эфира в трубках электрического поля за счет снижения его скорости движения, величина электрической относительной проницаемости равна отношению плотности эфира, движущегося в составе трубки в веществе, к плотности эфира в вакууме;
Полученные из газовых соотношения формульные зависимости в точности соответствуют известным законам современной электротехники.
4. Выявлен механизм основных химических взаимодействий – ионного, ковалентного и металлического, при этом экспериментально подтверждено выделение при ковалентных реакциях лептонной пены, механически взаимодействующей с металлическими предметами (хемодинамическое взаимодействие). Это дало основание для выявления происхождения свободных электронов в металлах и физических основ повышенной теплопроводности и электропроводности металлов.
Если присоединенный к ядру тороидальный винтовой вихрь – электронную оболочку – оторвать от ядра, то образовавшийся самостоятельный тороид будет сжат давлением окружающего эфира и образуется свободный электрон.
На элемент поверхности вновь образованного тороидального винтового вихря – электрона – действует разность сил: с внешней стороны действует давление свободного эфира, с внутренней – сумма сил внутреннего давления, которое существенно меньше внешнего давления, поскольку вращением газ отброшен из центральной области на периферию вихря, и центробежной силы. Такая система неустойчива и начинает самопроизвольно сжиматься, поскольку в межатомной области скорости течения эфира меньше, чем в электронных оболочках атома, градиенты скоростей меньше, следовательно, давление эфира здесь выше.
Для свободного вихря должен сохраниться момент количества движения и у тороидального, и у кольцевого вращения, что при сжатии приведет к самопроизвольному возрастанию и линейной, и угловой скорости обоих движений, причем линейной скорости пропорционально первой степени сжатия, а угловой – в квадрате. Процесс самопроизвольного сжатия газового вихря и энергетические соотношения этого процесса были рассмотрены выше.
Сжатие вихря и возрастание скорости вращения будут продолжаться до тех пор, пока плотность вихря не возрастет до некоторой критической величины, предположительно той же, что и у протона, т. е. до величины порядка 1017–1018 кг/м3. В результате получившееся вихревое винтовое кольцо приобретет размеры, существенно меньшие, чем были у исходного вихря. Это и будет свободный электрон.
Таким образом, свободный электрон представляет собой винтовое вихревое кольцо сжатого эфира (рис. 3.1), в котором знак винтового движения, т. е. ориентация кольцевого движения относительно тороидального, противоположен знаку винтового движения эфира в теле протона, но количество кольцевого движения то же самое. Следовательно, он несет в себе заряд той же величины, что и протон, но знак заряда не положительный, как у протона, а отрицательный.
Наличие кольцевого движения у электрона подтверждается тем, что у электрона обнаружен спин – момент количества вращательного движения, равный ½ в единицах ћ. Главной осью электрона является ось кольцевого вращения.
Если у электрона в свободном эфире та же плотность, что и у протона, то радиусы электрона и протона относятся друг другу, как корень кубический из отношения их масс, т. е.
и, следовательно, радиус свободного электрона составит:
Площадь поверхности электрона составит
а величина кольцевой скорости определится из величины заряда
откуда
Значение циркуляции кольцевой скорости определится как
Площадь же поперечного сечения электрона составит
Представление об электроне как о вихревом кольце с переменным радиусом было введено В.Ф.Миткевичем [36, 37]. Основным возражением против модели Миткевича было утверждение, что заряд и магнитный момент электрона сферически симметричны. Однако последующие работы Ву и некоторых других физиков показали, что электрон ведет себя подобно вращающемуся вихревому кольцу, спин которого направлен вдоль оси его движения. Этот факт снимает указанные возражения.
Как известно, электрон обладает собственной энергией, равной
и спином – механическим моментом вращения
Спин отражает только механический момент вращения кольцевого движения, в то время как энергия – полную внутреннюю энергию электрона, учитывающую как кольцевое, так и тороидальное движение. Для кольцевого движения
Если в соответствии с принципом Максвелла энергии по степеням свободы распределяются равномерно, то
и, по крайней мере, для первого случая – существования электрона в свободном эфире – можно предполагать, что линейные скорости кольцевого и тороидального движений эфира на поверхности электрона равны и, следовательно, частицы эфира в теле электрона движутся по винтовой линии с наклоном винта около 45°.
Если электрон попадает в область, где существуют какие-либо потоки эфира, то, поскольку градиент скоростей увеличивается, давление на поверхности электрона падает, и вихревое кольцо увеличивается в размерах.
Нужно отметить, что внутри металлов электроны не находятся в атмосфере свободного эфира. Там существуют и другие присоединенные вихри, которые можно условно назвать оболочками Ван-дер-Ваальса и которые обеспечивают межатомные связи не химической (не электронной) природы. Электрон, находящийся внутри таких вихрей, будет испытывать давление меньшее, чем в свободном эфире и его размеры будут существенно большими. Мало того, перемещаясь в пространстве между атомами металла, электрон все время переходит из одной области ван-дер-ваальсовой оболочки в другую, скорости потоков эфира и градиенты скоростей в них различны, следовательно, и давления в них различны, поэтому электрон не может сохранять свои размеры неизменными, они все время меняются, радиус кольца электрона не является постоянным и меняется в зависимости от внешних факторов.
Пробегая в тепловом движении внутри металла путь от одной молекулы к другой, от одного домена к другому электрон непрерывно меняет свое направление и ориентацию в пространстве, поэтому винтовое движение эфира. которое создает вокруг себя каждый электрон, усредняется до нуля, и металл никак себя не проявляет ни в плане электрического заряда, ни в плане наличии магнитного поля, до тех пор, пока под воздействием внешнего электрического поля электроны не приобретут некоторую общую ориентацию и начнут свое движение вдоль проводника.
Как было показано выше, при соединении потоков эфира, составляющих электронные оболочки атомов металла, в общую структуру часть завинтованного и уплотненного эфира в структуре этих оболочек оказывается лишней и выбрасывается во внешнее пространство. Винтовая струйка не может сохраняться в таком виде, ибо один конец, движущийся вперед, представляет собой исток газа, а противоположный ее конец – сток. Передний конец струйки обязательно должен замкнуться на задний конец, в результате чего образуется новый винтовой тороид эфира небольшой массы – свободный электрон. В принципе, число таких электронов в металле должно быть немного меньше числа атомов, т. е. порядка 1029м–3, поскольку при образовании доменов – химически соединенных групп атомов каждый атом выбрасывает при соединении в общую структуру струйку эфира, образующую свободный электрон.
Описанный механизм формирования свободных электронов в кристалле металла вызван перестройкой внешней оболочки атомов металлов в связи с образованием общей кристаллической решетки.
Объединение внешних присоединенных вихрей атомов в единую структуру должно приводить к высвобождению свободных вихрей – электронов, которые начинают блуждать по кристаллу в виде так называемого «электронного газа». Нечто аналогичное обнаружено автором и подтверждено экспериментально в ковалентных реакциях, при которых каждая пара взаимодействующих молекул высвобождает часть завинтованного уплотненного эфира, который тут же образует тороидальный вихрь эфира.
По определению напряженность электрического поля есть сила, действующая на единичный электрический заряд, так что
Однако всякая сила может возникать в результате появления градиента давления, которое, в свою очередь, может возникать как результат градиента скоростей потоков эфира в электрическом поле и на поверхности взаимодействующей с ним частицы. Учитывая поперечный характер распространения вектора электрической напряженности, следует полагать, что во взаимодействии электрического поля и частицы участвует поток эфира, направленный не в направлении частицы, а в перпендикулярном направлении. В этом случае происходит взаимодействие за счет градиентов скоростей, вектор которого направлен в сторону частицы. Такое взаимодействие возможно в том случае, если в самой структуре электрического поля существует не только продольное, но и поперечное течение эфира.
При появлении на поверхности электрода электрического заряда, т. е. при выходе на его поверхность электронов в окрестностях электрода устанавливается электрическое поле.
Из рис. 3.2 видно, что при выходе на поверхность электрода винтовых вихревых тороидов – электронов или протонов они создают в пространстве вне электродов винтовые вихревые трубки движущегося эфира. В вихревой трубке, образованной в среде винтовым тороидальным кольцом, потоки эфира движутся не только по кольцу в плоскости, перпендикулярной оси трубки, но и параллельно этой оси. При этом в центральной части вихревой трубки эфир движется от винтового тороида, а по периферии — к винтовому тороиду, так что общее количество поступательного движения эфира вдоль трубки в среднем равно нулю. Такое поступательное движение имеет большое значение, поскольку, будучи разным по величине и направлению на разных расстояниях от оси трубки, это движение создает различные значения винтового фактора, причем по оси трубки винтовое движение имеет один знак, а по периферии – противоположный (рис. 3.2).
Как показано в работах [2—5], суммироваться могут лишь винтовые потоки, у которых винтовой фактор постоянен и одинаков по всей длине вихря. Такое винтовое движение должно удовлетворять уравнению
при этом
Ничего подобного для вихревых трубок электрической индукции нет, следовательно, суммироваться потоки этих вихревых трубок не могут, а могут лишь развиваться в продольном направлении, скользя по поверхности друг друга, и смещаться в поперечном направлении под давлением соседних вихревых трубок.
Таким образом, силовые линии электрического поля – электрическая индукция – существуют как отдельные вихревые трубки («трубки Фарадея»), однако электрической индукции соответствует не все это движение, а только его кольцевая составляющая.
Электрическое поле – это совокупность винтовых вихревых трубок эфира («трубок Фарадея») с переменным по сечению винтовым фактором.
Интенсивность электрического поля определяется его напряженностью, т. е. числом трубок, приходящихся на единицу площади поперечного сечения проводника, и соответственно сечением каждой трубки: чем выше напряженность электрического поля, тем большее число трубок приходится на единицу площади и тем меньше будет сечение каждой трубки, что находится в полном соответствии с теорией газовых вихрей. Для газового вихря при постоянстве циркуляции газа вдоль вихря напряженность и линейная скорость вращения тем больше, чем меньше его сечение.
Для одиночного заряда полный угол, занимаемый кольцевым движением, составляет 4π, следовательно, для n трубок угол, занимаемый каждой из них, составляет
при этом для каждой трубки в соответствии с теоремами Гельмгольца на всем ее протяжении сохраняются для каждой элементарной струйки циркуляция и момент количества движения:
Как было показано выше, величина одиночного заряда определяется как
Поскольку тороидальное движение размывает кольцевое движение по всей сфере пространства, массовый поток кольцевого движения через сферу определится из выражения
или
где q – весь заряд, находящийся внутри сферы; D = ρэvк – поток кольцевой скорости плотности эфира, или, иначе, поток электрической индукции. Полученное выражение соответствует теореме Гаусса.
Процесс возникновения электрического поля при появлении на поверхности электрода упорядоченных зарядов заключается в том, что вихревое движение каждой трубки начинает распространяться вдоль оси трубки. При этом на торце трубки движение эфира лежит в плоскости, перпендикулярной оси трубки, и поэтому скорость распространения электрического поля в вакууме равна скорости второго звука в эфире – скорости распространения поперечного движения, обеспечиваемой вязкостью эфира, это и есть скорость света. Скорость распространения электрического поля в какомлибо материале меньше в kρ раз,
где ρм – плотность эфира, вовлекаемого в движение электрического поля в материале; ρэ – плотность эфира в свободном пространстве.
В оптических средах kρ = n, т. е. равно показателю преломления. Обычно показатель преломления находится в пределах 1,4–1,6, поэтому плотность эфира, вовлекаемого в движение в электрическом поле, больше плотности свободного эфира всего в 2–2,5 раза, т. е. составляет величину около 2·10–11 кг·м–3.
Сопоставляя ее с массовой плотностью тех же оптических стекол, составляющей величину порядка (2,65–3)·103 кг·м–3, видим, что в движение в электрическом поле вовлекается весьма небольшая часть эфира, порядка 10–14 от всей массы эфира, образующей материал. В металлах, возможно, эта доля больше.
Рассмотрим движение электрона – винтового вихревого кольца уплотненного эфира в винтовом поле эфира – электрическом поле. Попав в вихревое поле, созданное также винтовыми тороидальными образованиями эфира, электрон вынужден развернуться так, чтобы плоскость его кольцевого движения совпала с плоскостью кольцевого движения эфира в трубках. Поскольку в вакууме никакого соударения с молекулами вещества нет, то ориентация развернувшегося по полю электрона будет сохраняться неопределенно долго. После этого под действием разности давлений, действующих на электрон, последний должен начать свое движение вдоль оси вихревой трубки (рис. 3.3).
Области a b c d, к сожалению на рисунке не указаны — VVU
При совпадении направлений кольцевого движения вихревого поля vп и электрона vк на той стороне частицы, которая обращена к полеобразующим вихрям, градиент скорости кольцевого движения будет меньше, чем с противоположной стороны, и поэтому давление эфира на стороне, обращенной к источнику поля, будет больше, чем с противоположной.
В соответствии с уравнением Бернулли эти давления определятся выражениями:
в области а:
в области b:
в области с:
в области d:
Здесь b – толщина тела электрона; ve – скорость кольцевого движения тела электрона; vп - скорость кольцевого движения электрического поля; дvп/дr – градиент кольцевой скорости поля.
Произведя соответствующие вычисления и пренебрегая малыми членами, получим значения разности давлений,создающих поворотный момент электрону, причем всегда в сторону совмещения оси проводника и вектора тороидального движения электрона:
где Е = b дvп/дr
Сила, действующая на элемент площади электрона, составит
где Sт – площадь кольцевого сечения электрона, α – угол между главной осью электрона и осью трубки электрического поля; Е – электрическая напряженность.
На всей площади электрона постоянная составляющая кольцевой скорости поля не создает никакой силы, поскольку увеличение давления на тех участках, где направления потоков кольцевых скоростей электрона и поля совпадают, уравновешиваются уменьшением давления на тех участках, где они имеют противоположное направление. Поэтому дополнительное давление на электрон создается не собственно скоростью потока эфира vп, а циркуляцией скорости вокруг контура и, следовательно, сила, воздействующая на электрон со стороны электрического поля, определится как
где
Таким образом, напряженность электрического поля, т. е. сила, воздействующая со стороны электрического поля на единичный заряд
имеет своим происхождением градиент кольцевой скорости эфира, умноженный на размер электрона. Отсюда может быть определен и физический смысл электрической индукции D как количество кольцевого движения эфира в единице объема:
Для электрона, движущегося в свободном пространстве в направлении силы Е, sinα = 1 (главная ось электрона совпадает по направлению с направлением оси трубки электрического поля).
Поскольку давление есть потенциальная энергия, пропорциональная квадрату скорости молекул, то и сила, действующая на элемент электрона, будет уменьшаться на величину, пропорциональную квадрату относительной скорости движения электрона vq к скорости распространения кольцевого движения в свободной среде – скорости света с, т. е. на величину (vq/с)2, следовательно,
и при скорости движения частицы, равной скорости света, т. е. при vq = с, Е = 0, как бы ни менялась величина Ео.
Последнее означает, что с приближением скорости частицы к скорости света сила, действующая на частицу, уменьшается. аналогично тому, как при уменьшении скольжения вращающегося магнитного поля относительно ротора в асинхронной машине уменьшается момент, развиваемый ротором. Этим принципиально может быть объяснен факт невозможности разгона заряженной частицы электрическим полем любой, самой большой напряженности до скорости света, а вовсе не тем, что скорость света принципиально непреодолима.
Таким образом, получено выражение для напряженности электрического поля как силы, воздействующей на единичный заряд. Полагая, что скорость вращения вихревых тороидальных колец – электронов – постоянна, получаем, что напряженность электрического поля пропорциональна напряженности вихревого поля, которая пропорциональна числу трубок вихревого поля, приходящихся на единицу площади поля.
Если в свободном пространстве электрон предоставлен сам себе, то электрон, как и всякий газовый тороидальный вихрь, начнет разгоняться в направлении потока, исходящего из его центрального отверстия. Однако в отличие от обычных газовых вихрей в силу особой разреженности эфира и малого коэффициента его вязкости, а также в силу того, что в теле электрона плотность эфира на десятки порядков превышает плотность эфира в свободном пространстве, постоянная времени разгона электрона оказывается весьма большой и составляет десятки и сотни лет. Это объясняет природу космических лучей, но в условиях обычного эксперимента электрон практически остается неподвижным, так как площадь поверхности его мала, также мала и вязкость эфира, поэтому и сила отталкивания электрона от окружающей его среды мала, и время разгона соответственно велико.
При отсутствии электрического поля электроны в металле совершают хаотическое тепловое движение и имеют в пространстве хаотическую, т. е. равномерно распределенную ориентацию.
Под действием электрического поля хаотическое движение электронов в проводнике несколько упорядочивается. Это упорядочение проявляется двояко: во-первых, электроны во время свободного пробега начинают ориентироваться по полю, т. е. направление их осей приобретает общую составляющую вдоль направления электрического поля; во-вторых, электроны приобретают некоторое ускорение в общем направлении вдоль поля, увеличивая скорость и тем самым свою кинетическую энергию. Поэтому, несмотря на то что соударения электронов с электронными оболочками атомов проводника их вновь дезориентирует, в целом образуется поток электронов, имеющих уже некоторую общую ориентацию по направлению электрического поля (рис. 3.4).
Эта ориентация электронами теряется после каждого соударения с поверхностями молекул металла, но затем частично восстанавливается за время пробега между соударениями. В результате в среднем вся совокупность электронов в металле смещается вдоль оси проводника и, кроме того, оказывается развернутой под некоторым общим углом относительно плоскости, перпендикулярной оси проводника. Величина этого угла может быть определена исходя из особенностей структуры магнитного поля, возникающего вокруг проводника при прохождении по нему электрического тока.
Величина тока, протекающего по проводнику, составит
где е – заряд электрона, равный 1,6·10–19 Кл; N – число электронов в единице объема проводника; S – сечение проводника; vq – скорость смещения электронов вдоль оси проводника; n – число электронов в заряде q, протекающих через сечение проводника.
Скорость перемещения электронов vпр вдоль провода сечением Sпр определится выражением
Если полагать, что число электронов N в проводнике равно числу атомов металла, то тогда в единице объема содержится порядка 1030 м–3 электронов, следовательно, среднее расстояние между электронами составляет d = 10–10 м и при сечении проводника в Sпр = 1 мм2 получим, что в его поперечном сечении содержится ns = 1014 электронов, что соответствует заряду
При токе 1А через поперечное сечение проводника в 1с должен пройти заряд в 1 Кл, следовательно, должно пройти 6,25·104 зарядов qп. Учитывая, что среднее расстояние между электронами составляет 10–10 м, получаем среднюю скорость перемещения электронов вдоль проводника
Напряженность электрического поля Е есть сила, действующая на единичный электрический заряд. Сила, действующая на электрон, определится как произведение Ее, где е – заряд электрона. Под действием этой силы электрон, имеющий массу m, приобретет ускорение, равное
и за время Δt между соударениями с поверхностями атомов приобретет дополнительную скорость Δv. Если λ есть расстояние, пробегаемое электроном между двумя столкновениями и vт.ср есть скорость электрона, то величина этого промежутка времени будет равна
Проводимость проводника σ тем больше, чем выше концентрация зарядов в единице объема металла, чем больше величина заряда и чем выше подвижность заряда м, т. е. приращение скорости, отнесенное к силе, действующей на заряд, т. е.
и, следовательно, .
Приведенная формула для расчета проводимости металлов впервые была выведена Друде в 1900 г. ([Л. гл.1 [16]). Однако следует заметить, что сама подвижность электронов зависит от плотности и вязкости эфира в Ван-дер-Ваальсовых оболочках, в пределах которых и перемещается свободный электрон.
Расчет длины свободного пробега электрона в различных металлах на основе справочных данных дает хорошее совпадение в порядках величин с ожидаемыми по теории: при температуре ноль градусов по Цельсию для меди λ = 2,65·10–10 м; для алюминия 1,64·10–10 м; для вольфрама 0,84.10–10 м; для висмута 3,7·10–13 м. Последнее обстоятельство говорит о весьма небольшой величине межатомного пространства в висмуте, в котором могут перемещаться свободные электроны.
Приобретя дополнительную кинетическую энергию, электроны с большей силой ударяются об электронную оболочку атомов проводника, чем и объясняется повышение температуры проводника при прохождении по нему электрического тока. А поскольку амплитуда колебаний поверхности электронной оболочки атомов возрастает, то и число столкновений электронов с атомами возрастает, что и является причиной увеличения электрического сопротивления проводника при нагреве.
При разогреве проводника его сопротивление возрастает за счет возрастания амплитуды колебаний электронных оболочек атомов и сокращения в связи с этим длины свободного пробега электронов. Для меди относительное сокращение длины пробега составляет 4,33·10–3 К–1 , для алюминия – 4,6·10–3 К–1 , и при изменении температуры на 10 град. длины свободного пробега электронов составят 2,54·10–10 м и 1,56·10–10 м соответственно.
Плотность тока, протекающего по проводнику, определится из выражения
поскольку она пропорциональна объемной плотности электронов в металле, величине элементарного заряда и средней скорости электронов вдоль оси проводника. Подставляя соответствующие значения величин, получим:
что и выражает закон Ома в дифференциальной форме.
Умножая левую и правую части выражения на объем проводника V = SL, где S – площадь сечения проводника, а L – его длина, получаем
Поскольку значение тока в проводнике равно
а падение напряжения на проводнике равно
получим
где
есть активное сопротивление всего проводника, а ρ = 1/σ – его удельное сопротивление.
Мощность, затрачиваемая на создание тока в проводнике, составит:
где F = EeN – сила, воздействующая на электроны; Δv – приращение скорости электронов; V = SL – объем проводника. Подставляя соответствующие значения, получаем
где U – падение напряжения на проводнике, I – ток в проводнике.
Выражение отражает значение активной мощности, которую необходимо затратить в проводнике, имеющего сопротивление R для пропускания в нем тока I. Эта мощность затрачивается на разогрев проводника и не возвращается обратно в цепь.
С изложенных позиций может быть рассмотрен и механизм сверхпроводимости.
При понижении температуры уменьшается не только тепловая скорость самих электронов, но и амплитуда волн на поверхностях электронных оболочек молекул. Начиная с некоторого значения температуры электроны металла, попавшие в трубки электрической напряженности, не могут преодолеть удерживающую силу градиентных течений трубок и перестают взаимодействовать с электронными оболочками атомов. Сопротивление исчезает.
Создание в проводнике электрического поля заставляет всю массу электронов, находящихся в проводнике, смещаться в одну сторону, накапливаясь на одном конце и покидая другой конец. Если на обоих концах расположены металлические пластины, т. е. создан конденсатор, то при одном и том же электрическом напряжении в цепи количество электрических зарядов, наколенных на одной из пластин, будет тем больше, чем больше ее площадь и тем меньше, чем больше расстояние между пластинами.
Рассмотрим заряженный конденсатор, на одной из пластин которого помещен заряд q, а на другой –q. Наличие равных и противоположных по знаку зарядов означает, что на внутренней поверхности одной из пластин сосредоточено элементарных зарядов
создавших поле из n вихревых трубок, концы которых все входят во вторую пластину, т. е. число вышедших из одной пластины трубок равно числу вошедших во вторую пластину этих же трубок. На второй пластине имеется недостаток зарядов в том же количестве. Если бы заряды не были равны или имели один и тот же знак, такого равенства не было бы.
Площадь поперечного сечения одной трубки составит (в среднем)
где Sк – площадь пластины конденсатора, а скорость кольцевого движения по периферии трубки равна
где Г – интенсивность циркуляции эфира в трубке.
При изменении площади трубки за счет увеличения числа этих трубок – увеличения заряда на пластинах – плотность эфира в трубках ρ будет изменяться по сравнению с плотностью эфира в свободной среде ρэ:
Как показано в [42–44], уравнение Бернулли применимо к винтовому потоку в целом. Разность давлений в элементарной струйке на периферии вихря и в свободном эфире составляет
а для вихревой трубки кругового сечения в среднем падение давления вдоль трубки составляет [6, с. 115]
для трубок некругового сечения
Здесь k – коэффициент пропорциональности, учитывающий форму сечения трубки.
Поскольку расход газа в каждой трубке
получаем
где ε – относительная плотность эфира в вихревой трубке в диэлектрике.
Общая сила, действующая на пластину конденсатора, равна
Таким образом, физический смысл относительной диэлектрической проницаемости ε – отношение плотности эфира в вихревых трубках в диэлектрике к плотности эфира в вихревой трубке в вакууме, т. е. в свободном от вещества эфире.
Следует отметить следующее существенное обстоятельство для прохождения вихревых трубок электрического поля сквозь диэлектрик. Потоки эфира в этих вихревых трубках представляют собой стационарное движение эфира, которое может привести лишь к постоянному смещению эфирных вихрей, из которых состоит само вещество диэлектрика, на некоторую величину, при этом на переходный процесс, т. е. на упругое смещение молекул, будет затрачена некоторая энергия. В остальном же наличие стационарного вихревого потока эфира в диэлектрике ни к каким колебаниям частиц вещества привести не может. Это означает, что энергия вихря не расходуется и имеет реактивный характер (энергия не переходит в тепло – энергию колебаний атомов).
1. Электрическое поле, создаваемое электрическими зарядами, можно интерпретировать как примыкающие друг к другу боковыми поверхностями эфирные вихревые трубки переменного по глубине винтового фактора, в которых эфир вращается вокруг оси трубки и поступательно движется по оси трубки от заряда, а по периферии – к заряду, это поле.
Потоки эфира в винтовых трубках электрического поля носят стационарный характер и в диэлектриках приводят только к смещению – линейному или угловому молекул вещества, при этом энергия поля затрачивается только на переходный процесс, который сам по себе носит реактивный характер.
2. Сила, воздействующая на свободный электрон со стороны электрического поля, определяется величиной скольжения электрона относительно поля, т. е. разностью скорости электрона и скорости распространения электрического поля (скорости света). При приближении скорости электрона к скорости света сила, воздействующая на электрон со стороны поля, уменьшается и становится равной нулю при равенстве скоростей, чем и объясняется невозможность разгона электрически заряженных частиц электрическим полем до сверхсветовых скоростей.
3. Электрический ток в металле представляет собой не только упорядоченное движение электронов вдоль оси проводника, но и упорядоченный поворот электронов из любого положения спином в направлении оси проводника. Первое движение обеспечивает сосредоточение электронов на одном конце проводника и накопление зарядов в конденсаторе, а также увеличение тепловой скорости электронов и накопление зарядов на конце проводника, второе движение обеспечивает появление магнитного поля вокруг проводника с током.
4. Сущность электрического заряда конденсатора заключается в накоплении электронов на одной из его пластин при оттоке такого же количества зарядов с другой пластины. Накопление зарядов создает между пластинами электрическое поле, противодействующее полю, заставившего электроны войти в пластины, и приток электронов прекращается.
5. Относительная диэлектрическая проницаемость вещества есть отношение плотности свободного эфира в диэлектрике к плотности эфира в вакууме. В результате напряженность электрического поля уменьшается и равновесие устанавливается притоком дополнительных электронов.
Как известно, удельная энергия магнитного поля равна
где μo – магнитная проницаемость вакуума; H – напряженность магнитного поля; B – магнитная индукция; εo – диэлектрическая проницаемость вакуума, ρэ – плотность эфира в вакууме, c – скорость света. Отсюда сразу видно, что магнитная индукция В формально должна быть безразмерной. На самом деле магнитная индукция вовсе не безразмерна, а является отношением скорости потока эфира vп, в структуре магнитного поля, лежащего в плоскости ху, к скорости света т. е. к скорости второго звука в эфире в направлении z (рис. 4.1). Эти две скорости перпендикулярны друг другу, и их сокращать в размерности нельзя.
Таким образом, физическая сущность магнитной индукции – это скорость потока эфира в структуре магнитого поля, выраженная в долях скорости света.
Поскольку напряженность магнитного поля
то
Отсюда видно, что физическая сущность напряженности магнитного поля – это поступательная скорость плотности эфира в структуре магнитного поля, т. е. удельное количество движения эфира.
Из полученного выражения непосредственно может быть определена скорость потока эфира в структуре магнитного поля, соответствующая значению напряженности магнитного поля в 1 А/м:
Значению магнитной индукции величиной в 1 Тесла соответствует отношение скорости эфирного потока к скорости света в
Проводник сечением в 1 мм2 имеет радиус в rпр = 0,564 мм, площадь его поверхности составляет 3,54·10–3 м2. На один электрон проводника приходится площадь поверхности в 3,54·10–27 м2, что превышает площадь проводника в
раз.
Если бы электрон был ориентирован своей плоскостью параллельно плоскости одному из участков поверхности проводника, то это соответствовало бы скорости в
Если по проводнику течет ток в 1 А, то на его поверхности появится магнитное поле, напряженность которого составит
что соответствует скорости в 1,06215·105 м/с.
И это значит, что электроны повернуты всего лишь на угол в
Как показано в предыдущем параграфе, под воздействием электрического поля все электроны, в каком бы положении они ни находились, разворачивают свои оси так, что образуется некоторая общая составляющая проекций их спинов на ось проводника (рис. 4.2).
По отношению к любому участку поверхности проводника половина электронов оказывается повернутой к этой поверхности, половина к противоположной, так что циркуляция от каждой пары электронов даст суммарную циркуляцию, ось которой будет ориентирована вдоль проводника.
Исходя из того факта, что при перемещении в пространстве не обнаруживается никаких дополнительных магнитных полей, что подтверждено специально поставленными экспериментами, а также учитывая опыт Эрстеда, показавшего, что магнитная стрелка устанавливается перпендикулярно проводнику с током, вырисовывается практически единственно возможная структура магнитной силовой линии как некоторой трубки, в которой по поверхности течет эфир в одном направлении, а внутри трубки возвращается в противоположном, а сама же трубка вращается, так что по ее поверхности эфир течет по винтовой линии с углом в 45° к оси трубки. При этом поскольку формирование магнитной силовой линии производится электронами, которые сами представляют собой винтовые тороиды наиболее вероятной структурой магнитной силовой линии является набор винтовых тороидов. Взаимодействие винтовых потоков эфира показано на рис. 4.3.
Таким образом, структуры силовых линий магнитного поля и электрического поля во многом идентичны, но имеют и различия. Электрическое поле имеет источник винтового движения в торце, а магнитное поле с поверхности всей трубки, поэтому магнитная трубка может структурироваться в набор винтовых тороидов, а электрическая трубка не может. Однако все это требует уточнения.
Из выражения
и закона полного тока
вытекает
а если в материале скорость винтового потока выше, то
где μ – относительная скорость потока эфира в материале по сравнению с плотностью этого же потока в вакууме.
Изменение скорости эфирного потока в материале обеспечивается изменением ориентации доменов, которые потоками, расположенными на их периферии, либо увеличивают общую скорость потока (парамагнетики и ферромагнетики), либо уменьшают (диамагнетики).
Сопоставим с полученной зависимостью закон Ампера для силового взаимодействия проводников:
и представим его в форме
откуда видна полная идентичность выражений для скорости винтового потока эфира и закона Ампера по силовому взаимодействию проводников.
Как следует из закона полного тока, уменьшение напряженности магнитного поля вокруг прямолинейного проводника с током должно происходить по гиперболической зависимости и, следовательно, отношение напряженностей должно соответствовать выражению
где R2 и R1 – соответственно расстояние от центра проводника до точек измерения напряженностей магнитного поля. Однако эфир сжимаем, следовательно, для магнитного поля это обстоятельство должно сказываться существенным образом. Приведенное соотношение справедливо только для малых значений напряженностей магнитного поля, для которых его сжатием можно пренебречь. С увеличением же напряженности должны наблюдаться отклонения от этого закона. Это обстоятельство послужило предметом экспериментальных исследований, которые подтвердили это предположение.
Если магнитное поле обладает свойством сжимаемости, то приведенная зависимость должна нарушаться, причем тем больше, чем больше напряженность или ток, протекающий в проводнике. По аналогии со сжимаемой жидкостью это можно пояснить следующим образом: выходящая из вертушки жидкость (рис. 4.4 в верхней части) находится под большим напряжением, чем жидкость, находящаяся на некотором расстоянии от вертушки. Это значит, что с удалением от вертушки жидкость будет расширяться и добавлять свою энергию в движение, т. е. скорость сжимаемой жидкости вдали от центра будет больше скорости несжимаемой жидкости.
На рис. 4.4 приведены экспериментальные зависимости отношений Н/Но от относительного расстояния до центра проводника при разных значениях тока.
Как видно из результатов измерений, с увеличением тока в первичном проводнике отклонение напряженности магнитного поля от величины, определенной законом полного тока, становится больше. С увеличением расстояния от проводника, т. е. с уменьшением абсолютной величины напряженности магнитного поля, зависимость убывания магнитной напряженности приближается к гиперболической, определенной законом полного тока, и тем в большей степени, чем меньше эта напряженность. При этом, казалось бы, роль краевых эффектов должна была бы возрастать, однако на деле оказалось, что краевые эффекты нивелируются.
Интерпретация напряженности магнитного поля как скорости ламинарного потока эфира вызывает определенные возражения.
Во-первых, как известно, Максвелл отдал предпочтение трактованию магнитного поля не как поступательного, а как вращательного движения в связи с обнаруженным Фарадеем свойством магнитного поля поворачивать плоскость поляризации света в некоторых кристаллах. Однако Максвелл не учел, что градиент поступательной скорости эфира может обладать таким же действием.
Во-вторых, магнитное поле не обязательно является чисто поступательным движением эфира. В нем может присутствовать составляющая вращения, причем в разных физических явлениях соотношение между скоростями поступательного и вращательного движений может быть различным. Такая возможность требует отдельного рассмотрения, но этот вариант не будет противоречить ни изложенным выше представлениям об электрическом поле как о наборе винтовых трубок с переменным по сечению винтовым фактором, ни изложенным представлениям о напряженности магнитного поля как о скорости поступательного движения эфира. Тем не менее, такое моделирование позволит уточнить представления о физической сущности магнитного поля и его проявлениях в разных явлениях.
Рассмотрим поведение электрона в магнитном поле. Магнитное поле само по себе никак не может повлиять на ориентацию электрона вследствие взаимного уравновешивания всех сил, воздействующих на электрон со стороны поля, причем независимо от структуры самого магнитного поля и преобладания в нем кольцевой или поступательной составляющей движения эфира.
Области 1 и 2, к сожалению на рисунке не указаны, кажется это — верх и низ — VVU
В самом деле (рис. 4.5), в области 1 имеет место притяжение вихрей за счет потоков эфира в плоскости рисунка, но отталкивания за счет вращения газа, так как направление сопрягаемых потоков газа одинаково – в строну, перпендикулярную плоскости рисунка. В области 2 – все наоборот – отталкивание вихрей происходит за счет вращения потоков эфира в плоскости рисунка, а притяжение – за счет противоположного направления движений газа в плоскости, перпендикулярной плоскости рисунка. При этом составляющие сил, вызванных поступательным движением эфира, уравновешены между собой, так же как и составляющие сил, вызванные вращательным движением эфира также уравновешены между собой.
Положение существенно меняется, если внешней силой, например, электрическим полем, электрону придано поступательное движение со скоростью v. В этом случае к скорости потока эфира в электрическом поле vп по поверхности кольца добавляется скорость поступательного движения электрона. Разность скоростей, лежащих в плоскости чертежа в области 1 составит
а в области 2 соответственно
Квадраты их соответственно равны
Разность квадратов скоростей в направлении, перпендикулярном плоскости рисунка, соответственно равна:
Здесь квадраты разностей скоростей составят
Сумма квадратов скоростей в каждой области будет равна
а их разность составит
В соответствии с уравнением Бернулли имеем
и, следовательно,
Сила, действующая на эквивалентную поверхность электрона Sэкв, определится как
что и соответствует закону Лоренца для движущегося в магнитном поле электрона. При этом, как видно из рис. 4.6, направление силы перпендикулярно направлению движения электрона.
Присоединенные эфирные потоки уподобляются сжатой пружине, запасшей потенциальную энергию и стремящейся отодвинуть электроны друг от друга. При этом приращение давления будет пропорционально величине тока, проходящего по проводнику.
Для соленоида такое давление будет пропорциональным числу ампервитков iw, приходящихся на единицу его длины l:
В системе МКС единица тока [i] – кг·с-2, длины [l]– м и, следовательно, единица измерения давления присоединенных струй составит кг·м-1·с-2 или Н (Ньютон), т. е. ту же, что и для обычного давления.
Работа, совершаемая при сжатии присоединенных потоков эфира, определяется так же, как и работа, совершаемая при сжатии обычной пружины. Если для обычной пружины сила сжатия пропорциональна деформации, т. е.
где k – коэффициент упругости, а совершенная работа определится выражением
где Fо – сила сжатия пружины, то для сжатых эфирных потоков будем иметь на единицу длины соленоида
Сопоставляя полученное выражение с известным выражением для энергии соленоида
обнаруживаем, что физический смысл магнитной проницаемости вакуума соответствует коэффициенту упругости эфира.
При наличии железа в сердечнике дросселя магнитное поле, создаваемое обмотками соленоида, – упорядоченные потоки эфира – тратит свою энергию на разворот доменов – конгломератов молекул железа. Такие конгломераты находятся в сердечнике в не упорядоченном положении, ориентированы в пространстве во всех возможных направлениях относительно равномерно. Но под воздействием магнитного поля – упорядоченных кольцевых потоков эфира, являющихся результатом упорядоченной ориентации электронов в токонесущем проводе, – домены также разворачиваются и образуют магнитное поле сердечника. Здесь уже магнитное поле представляет собой набор винтовых вихревых трубок, и его структура, таким образом, отличается от магнитного поля, создаваемого током.
Таким образом, имеет место последовательная цепь событий: электрическое поле в проводнике обмотки соленоида заставляет электроны проводника разворачиваться главными осями в направлении оси проводника, этим самым создаются потоки кольцевого движения эфира вокруг проводника. Потоки эфира проникают в железный сердечник и вынуждают домены развернуться соответственно в общем направлении так, что оси винтовых трубок магнитного поля, создаваемые доменами, ориентируются частично в общем направлении, перпендикулярно направлению воздействующего на них внешнего потока.
Поскольку каждая такая винтовая трубка связана с соответствующим доменом, находящимся в связи с остальным материалом сердечника, то эти связи напрягаются подобно пружине, и если внешний поток исчезнет, то они вернут домен в исходное положение. Магнитное поле, созданное сердечником, исчезнет. Так обстоит дело с магнитомягким материалом.
Для магнитотвердого материала дело обстоит иначе. Если сопротивление связей доменов в материале удается преодолеть внешним потоком, то они могут и не возвратить домен в исходное состояние. Тогда магнитное поле сохранится и после отключения тока из обмотки соленоида.
Но наиболее простым способом ослабления связей доменов с материалом является, как известно, нагрев магнитотвердого материала вплоть до его расплавления. Тогда внешнее магнитное поле легко ориентирует домены в нужном направлении, а затем, после остывания материала, межмолекулярные связи закрепляют домен в этом положении. Материал становится постоянным магнитом.
При наличии железа в дросселе общая запасенная энергия магнитного поля будет пропорциональна объему железа:
Поскольку объем железа дросселя составляет Vж = Sж·lж , где Sж – сечение сердечника, а lж – длина магнитной силовой линии в сердечнике, то получим
где μ – относительная магнитная проницаемость железа. После сокращений будем иметь:
где
Здесь Rм – магнитное сопротивление сердечника.
Таким образом, получена обычная формула для индуктивности катушки с железным сердечником.
Из изложенного видно, что роль железного сердечника в индуктивности сводится к тому, что в нем запасается реактивная энергия магнитного поля. Но для того чтобы эту энергию в нем создать, необходимо совершить работу, т. е. произвести поворот доменов железного сердечника и для этого преодолеть упругое сопротивление их связей. Эта работа производится путем повышения давления в пространстве между проводником и железом. Само это давление создается электрическим током, текущим по проводнику. Поэтому общая запасенная энергия пропорциональна квадрату величины тока.
Энергия поступательной скорости эфира в вихревых трубках вокруг проводника, не имеющего железного сердечника, и есть энергия магнитного поля. Если есть железный сердечник, то сюда добавляется потенциальная энергия упругого поворота доменов сердечника. Вся эта система напряжена и удерживается в напряженном состоянии повернутыми в общем направлении – вдоль оси проводника – электронами. Сами же электроны удерживаются в этом состоянии напряженностью электрического поля.
Если электродвижущая сила в проводнике исчезает, то исчезает и причина, удерживающая электроны в общем ориентированном направлении, исчезает и давление, удерживающее потоки в напряженном состоянии. Равновесие нарушено, и весь процесс оборачивается в обратном направлении. Теперь внешние потоки эфира давят на внутренние, и линии кругового тока эфира, сокращаясь, входят в проводник. Их энергия тратится на увеличение тепловой скорости электронов проводника. В этом и заключается механизм самоиндукции.
Обратный ход процесса приводит к тому, что ЭДС на проводнике, создаваемая перемещающимися внутрь проводника потоками эфира, приобретает противоположный знак, эта ЭДС будет пропорциональная запасенной энергии индуктивностью, т. е. величине индуктивности, если же ток обрывается не сразу, то электроны еще сохраняющегося тока продолжает удерживать часть давления. Таким образом, на качественном уровне может быть обоснована известная формула ЭДС самоиндукции:
Как известно, закон электромагнитной индукции
отражает процесс наведения электродвижущей силы e в проводнике длиной l при перемещении его со скоростью v в магнитном поле, индукция которого равна В. Это закон близкодействия, непосредственно отражающий взаимодействие магнитного поля и движущегося в нем проводника.
Рассмотрим физическую сущность данного процесса.
Как было показано выше, основным видом движения эфира в магнитном поле является все же не вращательное, а поступательное движение эфира, которое может сочетаться с вращательным, но может и не сочетаться.
При отсутствии магнитного поля, т. е. при отсутствии внешних потоков эфира, электроны в проводнике находятся в тепловом движении, среднее положение их главных осей распределено в пространстве равномерно. Положение не меняется, если через проводник проникают потоки эфира, поскольку в каком бы положении ни находился электрон, все моменты давления вокруг него будут уравновешены.
Внешние потоки эфира – внешнее магнитное поле – на каждом электроне создают давление торможения на той стороне электрона, которая обращена к потоку. В соответствии с законами газовой механики на этой стороне образуется уплотнение газа, однако избыток этого давления, создающий момент силы, пытающийся повернуть электрон, уравновешивается таким же моментом силы давления на другом участке того же электрона.
Если же проводник начинает двигаться относительно потоков эфира, то симметрия моментов нарушается.
К кольцевому вращению эфира добавляется скорость перемещения проводника, и на одной стороне электрона скорость кольцевого движения электрона складывается со скоростью движения проводника, на противоположном конце вычитается. (рис. 4.7).
Изменение давления на стороне электрона, обращенной к потоку, вызывает увеличение плотности эфира на этой стороне электрона, так что
Здесь kρ – коэффициент увеличения плотности эфира; kv – коэффициент пропорциональности между коэффициентом увеличения плотности эфира и скоростью внешнего потока эфира vм, пропорциональной значению магнитной индукции В.
Изменение давления на том участке электрона, кольцевое движение в котором совпадает с движением проводника, составляет
а на том участке, где кольцевое движение имеет противоположное движению проводника направление, изменение давления составит
где vк – скорость кольцевого движения на поверхности электрона; vп – скорость перемещения проводника.
Разность этих давлений составит
а величина момента, разворачивающего главную ось электрона в направлении оси проводника,
где Sе – эквивалентная часть поверхности электрона, испытывающая превышение давления от набегающего потока; rе – радиус электрона.
Поворот всех электронов создаст электродвижущую силу в проводнике, пропорциональную этому углу поворота, а сам угол поворота электрона αе будет пропорционален разворачивающему моменту
напряжение на всей длине проводника l будет равно
1. Магнитное поле создается вокруг проводников с током вследствие поворота спинов электронов в проводнике из любого положения в направлении оси проводника, при котором кольцевое движение эфира вокруг электронов выдавливается на поверхность проводника и далее в свободное пространство. Силовые линии магнитного поля представляют собой набор эфирных винтовых тороидов, примыкающих друг к другу торцевыми поверхностями, причем, чем сильнее напряженность магнитного поля, тем меньше размеры каждого тороида. По мере удаления от проводника геометрические размеры тороидов, образующих силовые магнитные линии, увеличиваются.
2. На свободном электроне, движущемся в магнитном поле, за счет разности градиентов скоростей относительно эфира на его поверхности образуется момент сил, поворачивающий электрон (сила Лоренца), заставляющий его изменить направление движения.
3. Индуктивность есть величина энергии магнитного поля, которое способно создавать устройство – соленоида при пропускании по его проводникам тока единичной величины.
4. Выдавливание из проводника кольцевого движения эфира и образование из него тороидальных вихрей магнитного поля создает механическое напряжение в трубках магнитного поля, пытающееся сократить длину магнитных силовых линий и вернуть тороиды обратно в проводник. При прекращении тока в проводнике эфирные тороиды, образующие магнитное поле, возвращаются в проводник, создавая в нем э.д.с. самоиндукции.
Несмотря на то что сам закон Фарадея и уравнения Максвелла, приводящие к тому же закону, выведены на основании концепции эфира, предполагающем непосредственное взаимодействие электромагнитного поля и проводников, на самом деле здесь явно выражена концепция дальнодействия, поскольку процесс изменения магнитного поля происходит в одном месте (внутри контура), электродвижущая сила появляется в другом месте – на его периферии, а механизма взаимодействия поля с проводником не предусмотрено.
Однако в другом законе – законе электромагнитной индукции
где В – магнитная индукция; l – длина проводника, пересекающего поле; v – скорость перемещения проводника относительно магнитных линий (рис. 4.8), отражен закон близкодействия, поскольку здесь имеется прямая связь между магнитным полем и проводником – скорость пересечения проводником магнитного поля, хотя механизм возникновения ЭДС здесь тоже не раскрыт.
Понятие взаимоиндукции контуров может быть выведено на основании закона Фарадея
где S – площадь контура; В – магнитная индукция.
Для переменного тока синусоидальной формы коэффициент взаимоиндукции составит:
Как известно, в электротехнике отсутствует понятие «взаимоиндукция проводников», хотя имеется понятие «взаимоиндукция контуров». Из представления о взаимоиндукции контуров нельзя вывести взаимоиндукцию отдельных проводников, поскольку в формульных выражениях взаимоиндукции контуров присутствует площадь контура. Наоборот, из представлений о взаимоиндукции отдельных проводников можно было бы вывести законы взаимоиндукции контуров любой формы. Поэтому целесообразно найти закономерности взаимоиндукции проводников.
Введение понятия «взаимоиндукция проводников» имеет большое прикладное значение, поскольку на всех подвижных объектах – летательных аппаратах (самолетах, вертолетах, ракетах), надводных и подводных кораблях, космических аппаратах, а также на многих производствах по информационным каналам связи необходимо передавать сигналы, содержащие информацию, от достоверности и точности которой зависит работоспособность всей системы.
Искажения сигналов, несущих информацию, практически всегда ведут к искажению информации, а искажения сигналов связаны, в первую очередь, с помехами, создаваемыми энергетическими проводами, т. е. проводами, по которым либо текут значительные токи, либо в которых имеются относительно высокие (сотни вольт) напряжения. Обычный расчет наводимых помех от таких проводов в современной теории электромагнетизма проводится на основе закона Фарадея, но это не только не отражает физику процесса, но и приводит к значительным погрешностям. Поэтому необходимо создание методики, позволяющей оценить взаимоиндукцию проводов, а также рекомендовать меры по обеспечению трансляции бессбойным и неискажающим информацию способом. Для этого нужно рассмотреть физические основы создания магнитного поля током, протекающим в проводнике, перемещение этого поля в пространстве до второго проводника и создание этим магнитным полем э.д.с. в этом проводнике.
Наведение током, протекающим в первичном проводнике, э.д.с. во вторичном проводнике происходит в три стадии – первая – создание магнитного поля вокруг проводника с током, вторая – распространение магнитного поля в пространстве и третья – пересечение магнитным полем вторичного проводника и благодаря этому создание в нем э.д.с.[1].
Первая стадия определяется Законом полного тока:
где i – ток, текущий в проводнике, Н – напряженность магнитного поля, создаваемого этим током вокруг проводника, l – длина магнитной силовой линии, R – расстояние от центра проводника до точки измерения магнитного поля (рис. 5.1).
Вторая стадия – это распространение магнитного поля от поверхности токонесущего проводника во всем окружающем его пространстве Закон полного тока в обычной форме не отражает динамики процесса. Из него получается, что на любом расстоянии от проводника с изменением тока в проводнике напряженность магнитного поля на любом от него расстоянии меняется мгновенно, а это в принципе неверно.
Известное четвертое уравнение Максвелла
также является статическим. В динамической форме это уравнение приобретает вид
или
где вектора gradВ, gradН и скорости с строго коллинеарны, т. е. совпадают по направлению в пространстве друг с другом, и это позволяет выразить Закон полного тока в динамической форме:
Здесь знак «<= » показывает последовательность (причинноследственные отношения) между током в проводнике и создаваемым им магнитным полем. Ток есть причина, магнитное поле – следствие и менять их местами нельзя, так как нельзя создать постоянный ток в проводнике, окружив проводник постоянным, не меняющимся во времени магнитным полем. Здесь также показано, что напряженность магнитного поля Н, т. е. появление магнитного поля на расстоянии R от оси первичного проводника запаздывает на промежуток времени, равный отношению R/c. Это выражение и описывает распространение магнитного поля в пространстве. Деление вектора на вектор означает, то оба вектора B и с коллинеарны, т. е. лежат строго в одном направлении, т. е. вектор B строго направлен вдоль оси распространения магнитного поля со скоростью с.
Наконец, третья стадия процесса – собственно наведение э.д.с. во вторичном проводнике пересекающим его магнитным полем может быть получено из первого уравнения Максвелла, которое связывает rotЕ с магнитной напряженностью Н:
Здесь правая часть уравнения выступает причиной, а левая следствием и менять их местами нельзя. Магнитное поле, описываемое правой частью уравнения является причиной появлении циркуляции электрической напряженности в проводнике контура. Однако, учитывая, что для линейных проводников, лежащих в направлении оси у
а также то, что в рассматриваемом случае Еz = 0, имеем:
или
получаем
Учитывая выражение 5.5, а также, что
где ro — радиус токонесущего проводника, получаем:
Информационные провода, как правило, находятся в воздушной среде, для которой μ = 1. Тогда при синусоидальном сигнале
получим с учетом запаздывания:
откуда коэффициент взаимоиндукции параллельно проложенных проводов будет равен:
А коэффициент взаимоиндукции проводов составит
и наведенная во вторичном проводнике э.д.с. е составит:
Таким образом, появляется возможность рассматривать процесс наведения э.д.с. в проводниках не как результат пересечения магнитным полем площади контура, такого процесса в природе вообще не существует, а как результат пересечения магнитным полем проводников (рис. 5.2), и на этой основе, в частности, ввести в электротехнику и отсутствующее в настоящее время понятие взаимоиндукции проводников, точнее, распространить имеющееся в электротехнике понятие электромагнитной индукции и на взаимодействие двух проводников.
Дополнительно следует заметить, что коэффициент взаимоиндукции проводников должен зависеть и от соотношения диаметров проводов, что требует дополнительного исследования.
Сопоставим результаты расчетов для взаимоиндукции контуров обычным и предлагаемым способами.
В соответствии с законом электромагнитной индукции Фарадея и Максвелла коэффициент взаимоиндукции контуров при синусоидальном токе в первичном проводнике составляет
Но для определения ЭДС взаимоиндукции двух прямоугольных контуров здесь тоже необходимо привлечение закона полного тока
где R – расстояние от токонесущего провода до точки измерения магнитной напряженности Н.
В соответствии с законом Фарадея коэффициент взаимной индукции между двумя проводными линиями определяется выражением [2, c. 406]:
Здесь r12, r12’, r12’ , r1’2’ – расстояния между проводниками (рис. 5.3а).
Если контуры находятся в одной плоскости, то
Здесь d – расстояние между близлежащими проводниками двух контуров; h1 и h2 – расстояния между проводниками в каждом контуре. При этом взаимным влиянием боковых проводников в контурах можно пренебречь (проверено экспериментально). В этом случае магнитное поле, выходящее из проводов первого контура, заходит в площадь второго контура, ослабляясь по мере удаления от токонесущих проводов первого контура по закону полного тока (рис. 5.3б).
В соответствии с законом Фарадея электродвижущая сила во втором контуре при h1 = h2 = h будет определяться выражением
где
При h >> d имеем:
и при устремлении величины h к бесконечности коэффициент взаимоиндукции, приходящийся на единицу длины контура, также устремляется к бесконечности, хотя и по логарифмическому закону, что противоречит физическому смыслу.
Подход к этой же задаче на основе концепции близкодействия принципиально меняет ее постановку. Магнитное поле, выходящее из проводников первого контура, пересекает сначала ближний проводник второго контура, а затем, ослабляясь по мере удаления от источника, его дальний проводник. При этом в дальнем проводнике наводится ЭДС противоположного знака по сравнению с ближним проводником, и эта ЭДС уменьшается в соответствии с законом полного тока по мере удаления дальнего проводника от первого контура. Если, например, ближний проводник находится на расстоянии в осях от ближайшего к нему проводника первого контура на расстоянии 3 мм, а дальний проводник – на расстоянии 3 см, то ЭДС, возникающая на дальнем проводнике составит всего 10% от ЭДС, возникающей на его ближнем проводнике, а если на расстоянии в 30 см, то всего 1%. Таким образом, здесь имеет место насыщаемая зависимость, и никакого бесконечного увеличения ЭДС на втором контуре нет.
Общая электродвижущая сила, возникающая во втором контуре определится выражением
Здесь при устремлении величины h к бесконечности значение наведенной э.д.с. стремится к постоянной величине
Между выражениями для f1 и f2 имеется существенное различие: если с увеличением отношения h/d первая функция стремится к бесконечности, то вторая функция ограничена. При удалении обратных проводников контуров в бесконечность в выражении остается лишь коэффициент взаимоиндукции близлежащих проводников. Для практики это имеет особое значение, поскольку часто расположение обратных проводников вообще неизвестно (например, при заземлении источника и приемника сигналов).
В тех случаях, когда h << d, имеем
где d – расстояние между осями ближайшего ко второму контуру проводника первого контура; h – расстояние между проводниками второго контура; l – длина контуров.
Экспериментальные исследования взаимоиндукции проводников проводилось с помощью двух однопроводных прямоугольных контуров, у которых длина прилегающих сторон составляла 1 м.
Использовался провод типа БПВЛ-0,35, внешний диаметр изоляции которого составлял 1,5 мм. В первый провод пропускался переменный ток различных частот, во втором измерялась наведенная ЭДС. Изменялись одинаково расстояния h1 и h2 между проводниками контуров. Измерения проводились при значении тока в первом контуре, равном 1 А, в диапазоне частот от 50 Гц до 10 кГц.
На рис. 5.4. приведены зависимости f1 и f2, рассчитанные соответственно на основе максвелловскихи эфиродинамических представлений о механизме наведения э.д.с. в контурах. Крестиками обозначены значения, полученные в результате проведенных измерений.
Как видно из графиков, полученные результаты полностью удовлетворяют функции f2, полученной на основе эфиродинамических представлений о наведении ЭДС в проводниках, и отличаются от максвелловской зависимости f1 уже при значениях (h/d) = 10 более чем в 4 раза в меньшую сторону. От значений частоты и величины тока в первичном контуре результаты, представленные относительными значениями не зависят. Таким образом, проведенные исследования зависимостей наведения э.д.с. в больших контурах (площадью более 1 м2) показали их существенно лучшее совпадение с приведенными выражениями, нежели с максвелловскими.
Полученные результаты подтвердили независимость наводимой ЭДС от площади контура при достаточно большом удалении обратных проводников. Следовательно, в дальнейшем целесообразно использовать представление о взаимоиндукции проводников.
Определим порядок величин электромагнитной наводки в кабеле при следующих параметрах:
сечение провода 0,35 мм2 (Rпр = 0,334 мм), ток в токонесущем проводе I = 1 A; длина проводов l = 1 м;
расстояние в осях между проводами R = 2 мм; частота переменного тока f = 10 кГц. ЭДС в обратном проводе можно пренебречь в силу его удаленности. В этом случае наведенная ЭДС во втором проводе составит:
Таким образом, зависимость, полученная на основании концепции близкодействия, не только лучше отражает сущность явления, но и дает существенно более точный результат.
Для проверки зависимости коэффициента взаимоиндукции от диаметров взаимодействующих проводников, что следует из выражения 5.15 и далее, был поставлен эксперимент по определению величины ЭДС, наводимой с одного проводника на другой. При этом диаметры использованных проводников были существенно разными (0,5 и 5 мм), причем один из них был покрыт хлорвиниловой и матерчатой изоляцией (внешний диаметр проводника с изоляцией составил 6,5 мм), второй – лаковой изоляцией. Межосевое расстояние составляло 3,5 мм. Проводники плотно прилегали друг к другу. Нагрузка на втором (измерительном) проводнике изменялась от 10 до 1/3 Ом. Столь малое сопротивление нагрузки было необходимо для удаления емкостной составляющей наводки, что сделать полностью не удалось. Затем проводники по схеме менялись местами.
Пропускался ток величиной 3 А, использовались частоты от 500 до 4000 Гц, все измерения производились с помощью магнито-электрических приборов с термопарами. Результаты измерения сведены в таблице.
Как видно из таблицы 5.1, коэффициент взаимоиндукции проводников с разными диаметрами зависит от того, какой из них является первичным, а какой вторичным.
Таблица 5.1
| Диаметр первичного провода, мм | Диаметр вторичного провода, мм | Частота, Гц | ||||
| 500 | 1000 | 2000 | 3000 | 4000 | ||
| 0,5 | 5 | 10 мВ | 19 | 44 | 83 | 122 |
| 5 | 0,5 | 15 | 32 | 64 | 99 | 125 |
| k2тр/k1тр | 1,5 | 1,68 | 1,45 | 1,08 | 1,025 | |
Таким образом, зависимость коэффициента взаимоиндукции проводов от соотношения их диаметров, хотя и на качественном уровне, подтверждена. Поскольку прямой пропорциональности коэффициента взаимоиндукции от величины диаметра первичного провода не прослеживается, подобные исследования должны быть продолжены с учетом влияния электродинамической (емкостной) составляющей наводки.
Таким образом, экспериментально подтверждается возможность и целесообразность введения в электротехнику представлений о взаимоиндукции проводников, на основе которых уже можно определять и взаимоиндукцию контуров, проведя соответствующее интегрирование.
Как известно, электрический трансформатор – это статическое устройство, предназначенное для преобразования величины переменных ЭДС и токов. Трансформатор состоит из нескольких электрически не соединенных и неподвижных друг относительно друга обмоток, связанных между собой путем электромагнитной индукции. Одна из обмоток является первичной, она присоединяется к внешнему источнику ЭДС, остальные обмотки являются вторичными, ЭДС в них возникает в результате пересечения их силовыми линиями магнитного поля, создаваемого током первичной обмотки. С вторичных обмоток преобразованное по величине напряжение передается потребителям энергии.
Трансформатор с железным сердечником вследствие значительного увеличения коэффициента связи между обмотками позволяет при существенно меньших габаритах, чем трансформатор без сердечника, преобразовывать значительно большие мощности.
Расчет трансформатора основывается на законе Фарадея
где е – ЭДС, возникающая на обмотке, намотанной на железном сердечнике, площадь поперечного сечения которого равна S и материал которого имеет относительную проницаемость μ; дB/дt – скорость изменения магнитной индукции в сердечнике. Обычно расчет обмоток трансформаторов производится по другой формуле, вытекающей из закона Фарадея:
где е – ЭДС на обмотке, μ – относительная магнитная проницаемость железного сердечника, μо – маггнитная проницаемость вакуума, w – количество витков обмотки, f – частота питающего напряжения или тока, I – амплитуда переменного тока, S – площадь сечения сердечника, l – средняя длина силовой линии магнитного потока в сердечнике.
Коэффициент трансформации k при ненасыщенном сердеченике при этом определяется как отношение числа витков вторичной обмотки w1 к числу витков первичной обмотки w2 (в некоторых справочниках он определен как обратная величина):
Здесь U1 и U2 – напряжения на первичной и вторичной обмотках соответственно при отсутствии нагрузки на вторичной обмотке трансформатора (режим холостого хода).
При анализе принципа работы трансформатора возникает серия вопросов:
1. Каким образом энергия передается магнитным полем из первичной обмотки во вторичную?
2. Какую роль играет железный сердечник для увеличения коэффициента связи между первичной и вторичной обмотками?
3. Почему при снижении сопротивления нагрузки во вторичной обмотке и увеличении вследствие этого в ней тока растет соответственно ток в первичной обмотке, т. е. каков механизм влияния тока во вторичной обмотке на величину тока в первичной обмотке?
Ответ на первый вопрос принципиально рассмотрен выше при анализе электромагнитной взаимосвязи проводников. Электроны в первичном проводнике под воздействием внешней ЭДС ориентируют свои оси кольцевого вращения (спин) вдоль проводника, в результате чего вокруг проводника возникают кольцевые линии магнитного поля, составленные из примыкающих друг к другу кольцевых винтовых тороидов. Эти потоки распространяются во внешнее пространство. Если поток эфира, направленный перпендикулярно оси проводника, статичен, то все давления на поверхности электрона уравновешены (рис. 5.5а) и никакой принудительной ориентации он не подвержен. Если же поток эфира не стационарен, то в проводнике возникает градиент скоростей потоков эфира, это приводит к неуравновешенным давлениям на поверхности электрона и создается момент сил, ориентирующий электрон таким образом, чтобы его главная ось (спин) ориентировалась по оси вторичного проводника (рис. 5.5б). Таким образом, идет процесс передачи ЭДС из первичного проводника во вторичный.
Если вторичный проводник разомкнут, то возникшая ЭДС концентрирует электроны на одном из концов проводника. Тороидальные потоки электронов, уже находящихся на конце проводника, создают на остальных электронах проводника момент сил, уравновешивающий момент сил, создаваемый наводимой ЭДС, смещение электронов вдоль проводника и их принудительный поворот прекращаются.
Если же вторичный проводник подключен к нагрузке, то электроны смещаются, противодействующий ориентации момент ослабевает, все электроны проводника ориентируются за счет разности моментов воздействующих сил. Во вторичном проводнике появляется ток.
Излагаемая качественная картина взаимодействия магнитного поля и электронов достаточно условна и в дальнейшем должна быть уточнена.
Если трансформатор не имеет железного сердечника, то магнитное поле в пространстве распределено не напряженно, этот процесс описан выше применительно к взаимодействию проводников и контуров. Однако если в трансформаторе есть железный сердечник, то картина существенно меняется. Если вторичная обмотка трансформатора разомкнута и ток в ней отсутствует, то трансформатор является обычным дросселем, индуктивностью с железным сердечником, рассмотренным выше. Магнитное поле оказывается запертым в пространстве внутри железного сердечника и поэтому по мере нарастания тока в первичном проводнике напрягается подобно сжимаемой пружине. Это сжатие магнитного поля препятствует развороту электронов в первичном проводнике, там ток становится меньше того, который был бы в нем при отсутствии железного сердечника. Тогда образуется следующая цепочка взаимодействий: ЭДС сети создает в первичной обмотке электрическую напряженность, под воздействием которой электроны первичной сети ориентируются в пространстве, создавая вокруг них кольцевые потоки эфира. Эти потоки проникают в железный сердечник и разворачивают домены, чем напрягаются связи доменов с остальным веществом сердечника. Чем больше сечение железа, тем больше доменов нужно повернуть. Это усилие через поле передается электронам первичной обмотки, в результате угол поворота электронов оказывается меньше, чем если бы железного сердечника не было.
Наличие железного сердечника препятствует распространению магнитного поля за его пределы. В результате энергия давления магнитного поля более полно используется вторичной обмоткой и там создается возможность для поддержания одного и того же значения ЭДС при меньшем сопротивлении нагрузки.
Здесь наиболее близкой механической аналогией является труба, заполненная газом, на который давит поршень. В трубе имеется турбинка, способная совершать работу. Пока она неподвижна, давление газа высокое, оно выровнено, поршень неподвижен и не совершает работы. Однако если турбинка начинает вращаться, совершая работу, то газ пропускается через лопатки турбинки на выход трубы, начинает вытекать, в сосуде устанавливается градиент давлений от поршня к отверстию, а также устанавливается определенная скорость истечения газа. Поршень же, перемещаясь, совершает работу (рис. 5.6).
Если стенки трубы не обладают достаточной упругостью, то при повышении давления газ расширяет стенки трубы, образуется параллельный турбинке выход газа вовне, эффективность турбины падает. В этой аналогии роль стенок трубы выполняет железный сердечник. При насыщении сердечника он перестает экранировать магнитное поле, упругость поля снижается, и уменьшается доля энергии, поступающая во вторичную обмотку. Все это хорошо соответствует известной эквивалентной схеме трансформатора.
Наличие разомкнутой вторичной обмотки никак не изменяет ситуацию. Однако если вторичная обмотка подключена к нагрузке, то часть энергии потоков эфира, созданных первичной обмоткой, передается электронам вторичной обмотки, скорость потоков эфира снижается, а градиент скорости увеличивается, соответственно пропорционально увеличению тока во вторичной обмотке растет градиент напряженности магнитного поля.
Проверка этого обстоятельства может быть выполнена достаточно просто. Необходимо разместить первичную и вторичную обмотки трансформатора на противоположных концах железного сердечника, а посредине разместить третью обмотку, состоящую из двух одинаковых встречно включенных обмоток. На ней появится ЭДС, которая будет увеличиваться при уменьшении сопротивления нагрузки и увеличения тока во вторичной обмотке. Эта ЭДС свидетельствует об изменении градиента магнитного поля при изменении тока во вторичной обмотке. Поставленный эксперимент это полностью подтвердил. Однако это никак не вытекает из существующей теории трансформатора.
В обычных формулах расчета трансформатора зависимость ЭДС от того, как расположены обмотки на трансформаторном сердечнике, не предусмотрена, потому что в обычных трансформаторах первичная и вторичная обмотки размещаются непосредственно одна над другой. Однако и в этом случае наблюдаются, некоторые несоответствия расчетам, но их объясняют так называемыми магнитными полями рассеивания. Частично это так, но, тем не менее, не соответствие расчетам нужно объяснять и различием в расположениях первичной и вторичных обмоток.
Как уже указывалось выше, коэффициент взаимоиндукции проводников непосредственно зависит от расстояния между ними. Поэтому с удалением обмоток на трансформаторе друг от друга коэффициент их взаимоиндукции также должен снижаться.
Для проверки этого обстоятельства был выполнен следующий эксперимент (рис. 5.7).
На ферритовом кольце, имеющем внешний диаметр 98 мм, внутренний диаметр 60 мм и толщину 15 мм, были расположены две обмотки по 10 витков, одна из которых могла перемещаться вдоль кольца (рис. 5.7а). Первичная обмотка запитывалась от звукового генератора, на вторичной обмотке в режиме холостого хода измерялась ЭДС. Измерения проводились на частотах 20 и 200 кГц. Результаты измерений сведены в таблицу 5.2 и в виде графика показаны на рис. 5.7б.
Таблица 5.2
| Частота | Напряжение на вторичной обммотке, коэффициент трансформации | Угол разнесения обмоток на сердечнике, град (расстояние между центрами обмоток, мм) | ||||
| 0° (0) | 45° (30,6) | 90° (55,9) | 180° (79) | |||
| 20 кГц | U2, мВ | 149 | 141 | 136 | 134 | |
| kтр | 1 | 0,949 | 0,913 | 0,899 | ||
| 200 кГц | U2, мВ | 1534 | 1459 | 1401 | 1364 | |
| kтр | 1 | 0,951 | 0,913 | 0,899 | ||
Некоторый разброс показаний может быть отнесен за счет неточности фиксации расположения обмоток при эксперименте. Однако итоговый результат – более 10% уменьшения коэффициента трансформации за счет раздвигания обмоток на общем сердечнике – никак не может быть отнесен на этот счет, так же как он не может быть отнесен и на счет традиционного объяснения эффекта из-за полей рассеивания магнитного поля.
Как известно, при протекании по двум параллельным проводникам токов проводники испытывают взаимное притяжение, если токи текут в одном и том же направлении, или отталкивание, если направления токов противоположны. В соответствии с законом Ампера сила взаимодействия параллельных проводников с током в вакууме определяется выражением
где μо = 4π·10–7 Гн·м–1 – магнитная проницаемость вакуума; I1 и I2 – величины токов в первом и втором проводниках; l – длина проводников; d – расстояние между их осями.
Приведенное известное выражение соответствует опытным данным, однако, не выражает физической сущности взаимодействия проводов с током. Для понимания физической сущности рассмотрим взаимодействие двух электронов – уплотненных тороидальных вихревых винтовых колец шаровой формы, расположенных каждый в одном из двух проводов, расположенных параллельно относительно друг друга.
Электрон, находящийся в первом проводе под воздействием тороидальной составляющей движения электрического поля разворачивается так, что главная ось электрона оказывается под углом к продольной оси провода меньшим, чем π/2. Для простоты вывода положим, что главные оси электронов и оси проводов совпадают по направлению, реальный угол поворота будет учтен в дальнейшем.
В соответствии с законом Био-Савара тороидальная составляющая винтовой скорости эфирного потока убывает пропорционально кубу расстояния, а кольцевая в соответствии с теоремой Гаусса – пропорционально квадрату расстояния. Поэтому в дальнейшем тороидальная составляющая скорости не учитывается, и можно считать, что взаимодействие электронов осуществляется только под влиянием кольцевой составляющей потоков эфира вокруг электронов.
Скорость перемещения электронов вдоль провода при постоянном токе величиной I, А, сечении провода Sпр, содержании свободных электронов в металле N, м–3, заряде одного электрона е составляет:
Физически взаимодействие между проводниками осуществляется за счет того, что сориентированные в пространстве электроны создают вокруг проводников потоки эфира, структурированные в прилегающие друг к другу винтовые тороиды эфира, которые воспринимаются как магнитное поле токов (рис. 5.8).
При параллельной ориентации электронов в обоих проводах направления кольцевого движения вихревого поля vп и электрона vк на той стороне частицы, которая обращена к полеобразующим вихрям, противоположны, градиент скорости кольцевого движения будет больше, чем с противоположной стороны, и поэтому давление эфира на сторонах проводов, обращенных друг к другу, будет меньше, чем с противоположных.
В соответствии с уравнением Бернулли эти давления определятся выражениями:
в области а:
в области b:
Пренебрегая малыми членами, получим разность давлений, действующих на электрон:
где ve – скорость потока эфира на поверхности электрона; vп – скорость потока эфира, созданного электроном, находящимся в первом проводе, на поверхности электрона, находящегося во втором проводе.
Если бы электрон во втором проводе был повернут так, чтобы направление его главной оси совпадало с направлением оси проводника, то сила, действующая на один электрон во втором проводе, составила бы величину, равную:
При учете реального угла α2 поворота электронов, находящихся во втором проводе, сила воздействия на все электроны второго провода составит:
где e – заряд электрона; n2 – количество электронов во втором проводе.
Преобразуем выражение для закона Ампера:
Для тока справедливо соотношение
где vпр – скорость перемещения электронов вдоль проводника; e – заряд электрона; Sпр.сеч. – площадь сечения проводника; N – количество электронов в единице объема металла, причем
здесь ρэ – плотность эфира; ve – скорость кольцевого потока эфира на поверхности электрона, Se – площадь поверхности электрона; re – радиус электрона.
Подставляя выражение для тока в закон Ампера и учитывая, что
получаем:
Здесь vп – скорость потоков эфира, вызванных поворотом электронов в первом проводнике; (сirc) – суммарная циркуляция электронов во втором проводнике:
e – заряд электрона; vпр1 и vпр2 – скорости перемещения электронов вдоль первого и второго проводников; Sпр1 и Sпр2 – площади сечения первого и второго проводников; N1 и N2 – количество электронов в единице объема проводников; α1 и α2 – угол поворота потоков эфира в проводниках, так что
Теперь та же формула закона Ампера приобрела четкий физический смысл взаимодействия электронов в проводах: градиенты скоростей потоков эфира на поверхности электронов создают дополнительную разность давлений, электроны первого проводника приобретают дополнительную скорость в направлении второго проводника и отдают полученное приращение импульса молекулам своего проводника. То же происходит и с электронами второго проводника, которые приобретают дополнительную скорость в направлении первого проводника. Это и приводит к появлению сил взаимодействия проводников. Здесь необходимо отметить, что полученные выражения для углов поворота потоков эфира α1 и α2 не есть углы поворота электронов, которые существенно больше.
Средние углы поворота осей электрона β предположительно можно определить через отношение скорости движения электрона вдоль проводника vпр к средней скорости теплового движения vт:
Представляет интерес дать численную оценку некоторым параметрам, участвующим в силовом взаимодействии проводников.
Если в двух проводниках течет в одном направлении постоянный ток силой 1А, то сила притяжения друг к другу проводников, имеющих длину 1 м и расположенных в осях на расстоянии 1 см друг от друга, составит
В этом случае каждый проводник содержит 1024 электронов, расположенных друг относительно друга на расстоянии 10–10 м, т. е. каждый электрон находится в пределах одной молекулы металла, скорость перемещения электронов вдоль оси составляет 6,25·10–6 м/с, а углы поворота потоков эфира, вызванные поворотом электронов, составляют всего лишь 6,25·10–6/ 3.108 = 2,08·10–14 рад. Такой малый угол поворота потоков эфира не означает такого же значения угла поворота самих электронов, который существенно больше и в данном случае для температуры +20˚ С составляет
Таким образом, силовое взаимодействие проводников осуществляется не за счет перемещения электронов относительно проводника, а за счет совместной ориентации их спинов относительно оси проводника, что приводит к упорядочению эфирных потоков вне проводника, которые и воспринимаются как образованное током магнитное поле. Эти потоки воздействуют на электроны, придавая им дополнительный импульс в поперечном направлении, что и приводит к силовому взаимодействию проводников.
Взаимодействие постоянного магнита с магнитным полем Земли известно с древних времен. Взаимодействие же магнитной стрелки с магнитным полем, создаваемым постоянным током, текущим по проводнику, было открыто датским физиком Х.К.Эрстедом только в 1820 г. [2, 3]. Именно это открытие вызвало большое число исследований, которые в конечном итоге привели к созданию электродинамики и электротехники. Опыт Эрстеда показал, что намагниченная стрелка, помещенная над проводником с током, отклоняется и устанавливается поперек проводника (рис. 5.9а).
Механизм взаимодействия ламинарного потока эфира, создаваемого током, проходящим по проводнику, и осевой составляющей магнитного потока, создаваемого стрелкой компаса, виден из рис. 5.9б. При параллельных потоках градиент скоростей существенно меньше, чем при антипараллельных потоках, отсюда и характер взаимодействия. Не исключено, что вихревая составляющая также участвует во взаимодействии магнитной стрелки с магнитным полем проводника, но эта составляющая должна играть вспомогательную роль.
С позиций эфиродинамических представлений объяснение этого явления заключается в том, что в нем проявляется взаимодействие между потоками эфира, создаваемыми вокруг проводника с током ориентированными в пространстве электронами, главная ось которых частично развернута в направлении оси проводника, и поверхностью доменов железа, ориентированных вдоль оси стрелки.
Как видно из рисунка, каждый домен будет испытывать со стороны потока эфира, создаваемого электронами проводника, момент сил, определяемый плотностью эфира вблизи поверхности домена, скоростью потока эфира на поверхности домена, градиентом скорости потока вблизи поверхности домена и углом между направлениями внешнего потока эфира и направлением потока на поверхности домена.
Давление эфира в области пересечения потоков определится выражением:
где Poд – давление эфира на поверхности домена при отсутствии магнитного поля; ρэд – плотность эфира на поверхности домена; vп – скорость потока эфира магнитного поля на поверхности домена; vд – скорость потока эфира самой поверхности домена; α – угол между потоками.
Отсюда сразу видно, что минимум давления будет иметь место при противоположных направлениях потоков эфира в магнитном поле и на поверхности домена, т. е. при максимальном градиенте скорости потока эфира.
Поскольку скорость потока эфира в магнитном поле прямо пропорциональна величине тока, текущего в проводнике, и обратно пропорциональна расстоянию D до него, а также пропорциональна магнитному моменту стрелки pм, то общий момент Мс, действующий на стрелку со стороны проводника, определится выражением
где k – коэффициент пропорциональности; α - угол между стрелкой и проводником.
Магнитные силовые линии постоянных магнитов, в принципе, представляют собой винтовые потоки эфира. Вероятнее всего, магнитное поле представляет собой систему вихревых трубок, в которых по периферии эфир перемещается вдоль оси трубки в одном направлении, а по центру – в противоположном. Трубка может структурироваться в набор винтовых тороидов. В этом отношении структура вихревых трубок магнитного поля имеет определенное сходство со структурой вихревых трубок электрической индукции Физическая сущность электромагнитных взаимодействий с той существенной разницей, что трубки электрической индукции имеют своим источником кольцевое движение микрочастиц, а магнитные трубки – тороидальное. Электрон, попавший в трубку электрической индукции испытывает поворотный момент и дополнительное давление эфира со стороны источника. Электрон, попавший в трубку магнитной напряженности, испытывает только поворот, а разность давлений возникает только при его движении.
Если бы магнитное поле представляло собой только ламинарные потоки эфира, то при исследованиях эфирного ветра Майкельсоном и последующими исследователями оно было бы неизбежно обнаружено как проявление эфирного ветра на поверхности Земли, так как при напряженности магнитного поля Земли от 33,4 А/м у экватора до 55,7 А/м у полюса скорости эфирных потоков составляли бы соответственно от 12,580 км/с до 20,98 км/с. Однако этой составляющей эфирного ветра обнаружено не было, следовательно, она была меньше, чем 3 км/с, т. е. того значения эфирного ветра, которое было обнаружено Морли и Миллером на Евклидовых высотах в 1905 г.
Таким образом, приходится констатировать, что осевая составляющая потока вдоль оси магнитной силовой линии, по крайней мере, у магнитного поля Земли невелика по сравнению с вихревой (вращательной) составляющей. Это подтверждается тем, что магнитное поле Земли убывает с расстоянием от центра Земли пропорционально кубу радиуса, т. е. по закону Био-Савара. Однако это не значит, что во всех случаях проявления магнитного поля это так.
Механизм взаимодействия двух постоянных магнитов отличается от приведенного выше. При взаимодействии разноименных полюсов (рис. 5.10а) в воздушном промежутке направления вращения трубок оказываются одинаковыми, так же как и направления осевого перемещения эфира, трубки объединяются, скорости потоков возрастают, давление в них падает, и внешним давлением эфира полюса магнита подталкиваются друг к другу. При взаимодействии же одноименных полюсов (рис. 5.10б) вращение вихревых трубок в воздушном промежутке между полюсами оказывается противоположным, так же как и направления осевых потоков. Это заставляет трубки изгибаться, чем создается в них внутреннее напряжение. Давление эфира возрастает, полюса отталкиваются.
В случае постоянных магнитов главную роль играет вращательная составляющая движения эфира в вихревых трубках магнитного поля.
Следует отметить также, что простое винтовое движение эфира, сочетающее поступательное движение с вращательным без структурирования в набор винтовых тороидов, может также восприниматься как магнитное поле. Все изложенные выше положения для этого варианта остаются справедливыми.
Для вынесения окончательного суждения о структуре магнитного поля необходимо проводить специальные исследования. Изложенные выше представления о структуре магнитного поля носят самый предварительный характер и должны уточняться.
1. Физический смысл магнитной проницаемости вакуума соответствует коэффициенту упругости эфира.
2. Э.д.с. в проводнике создается магнитным полем всегда только при пересечении им тела проводника, при этом в случае стационарного магнитного поля э.д.с. создается за счет пересечения движущимся проводником силовых линий магнитного поля, а при неподвижном проводнике за счет пересечения распространяющегося в пространстве магнитного поля тела неподвижного проводника.
3. Эфиродинамическое давление со стороны вихревых трубок магнитного поля на электроны, создавшие это магнитное поле, имеет ту же размерность, что и у обычного газового давления, это Физическая сущность электромагнитных взаимодействий и есть потенциальная энергия магнитного поля, которая создает э.д.с. самоиндукции при исчезновении э.д.с. источника тока.
4. Давление эфира на свободный и неподвижный в пространстве электрон уравновешено, но если электрон перемещается относительно магнитного поля, то равновесие давлений на разных участках электрона нарушается, и электрон начинает смещаться в сторону от прямолинейного направления (сила Лоренца).
5. Магнитное поле, создаваемое вокруг проводника поворотом спинов электронов в проводнике в направлении его оси, представляет собой набор вихревых трубок, состоящих из соосно расположенных возле друг друга винтовых вихревых тороидов эфира
6. Передача энергии из первичной обмотки трансформатора во вторую осуществляется через магнитное поле, расположенное в пространстве между обмотками, при этом влияние на коэффициент трансформации оказывает расстояние между обмотками: при увеличении расстояния между обмотками коэффициент трансформации снижается.
7. Силовое взаимодействие проводников осуществляется за счет совместной ориентации спинов электронов в обоих проводниках в направлении осей проводников, что приводит к ускорению движения электронов в каждом проводнике по направлению к другому проводнику, полученный импульс передается электронами молекулам металла, что и вызывает силовое взаимодействие проводников с токами (закон Ампера).
Разработка гидромеханических моделей электрических и магнитных явлений и в XIX в., и сейчас еще наталкивается на большие трудности, поскольку эти явления весьма разнообразны по форме, а сами модели могут базироваться только на представлениях о турбулентных и вихревых движениях жидкости или газа, до настоящего времени изученных далеко не полно. Тем не менее, разработка подобных моделей в прошлом принесла большую пользу, именно эти модели легли в основу всей теории электромагнетизма и позволили создать всю ее математическую базу.
Практически все гидродинамические модели электромагнитных явлений можно разбить на две группы. В первой группе моделей магнитное поле рассматривается как проявление поступательного движения эфира, а электрическое поле – как проявление вращательного (вихревого) движения эфира. Такой точки зрения придерживались, в частности, Г.Гельмгольц, В.Томсон, Дж.Томсон, Н.П.Кастерин. Во второй группе моделей магнитное поле рассматривалось как проявление вихревого движения эфира, а электрическое поле – как проявление поступательного движения. Этой точки зрения придерживались, в частности, Дж.Максвелл и В.Ф.Миткевич.
Пусть α, β, γ – компоненты скорости эфира, u, v, w – угловые скорости вихрей, а ρэ – плотность эфира. Тогда первая группа моделей опишется следующими уравнениями:
и определим следующие соответствия:
ρэ → μо – магнитная проницаемость вакуума;
α, β, γ → Нх, Ну, Нz – компоненты магнитного поля;
u, v, w → Ех, Еу, Еz – компоненты электрического поля.
Для второй группы моделей имеем следующие соответствия:
ρэ → εо – диэлектрическая проницаемость вакуума;
α, β, γ → Ех, Еу, Еz – компоненты электрического поля;
u, v, w → Нх, Ну, Нz – компоненты магнитного поля.
В пользу последних представлений свидетельствовало открытое Фарадеем явление поворота плоскости поляризации света в магнитном поле.
В моделях первой группы представление о магнитном поле как о поступательном движении эфира приводит к выводу о возникновении магнитного поля при любом движении через эфир, чего на самом деле нет, и что вызывало справедливую критику со стороны авторов второй группы моделей. Однако в моделях второй группы представление об электрическом поле как о поступательном движении эфира приводит к аналогичным выводам о возникновении электрического поля при любом движении через эфир. Это явление тоже не обнаружено. Таким образом, недостатком обеих групп моделей являлось их явное несоответствие опытным данным.
Важным недостатком существующих моделей электромагнетизма явились идеализация и беспредельное распространение движений эфирной жидкости и, как следствие, электромагнитных явлений на все пространство, окружающее собственно область электромагнитных взаимодействий и явлений. Эта идеализация явилась следствием представлений Гельмгольца о движениях идеальной среды, согласно которым вихри не могли ни появляться, ни уничтожаться, а могли лишь перемещаться и меняться в сечении при сохранении циркуляции. Таким образом, вопрос о возникновении и уничтожении вихревых движений не возникал. Между тем, вихри могут и появляться, и уничтожаться. Это тем более понятно при рассмотрении явлений, связанных с прохождением переменного тока по проводникам: при отсутствии тока магнитного поля в окружающем проводник пространстве нет, а при появлении в нем образуется магнитное поле, т. е. вихревые движения эфира. Налицо противоречие модели с реальностью.
Приведем цитату из статьи «Электромагнитные волны», помещенной Большой советской энциклопедии (изд. 3е, т. 30, с. 67). Ссылка на данный источник нужна для того, чтобы продемонстрировать официальный взгляд современной науки на природу электромагнитного излучения [1].
«Электромагнитные волны, электромагнитные колебания, распространяющиеся в пространстве с конечной скоростью. Существование Э. в. было предсказано М.Фарадеем в 1832 г. Дж.Максвелл в 1865 г. теоретически показал, что электромагнитные колебания не остаются локализованными в пространстве, а распространяются в вакууме со скоростью света с во все стороны от источника. Из того обстоятельства, что скорость распространения Э. в. в вакууме равна скорости света, Максвелл сделал вывод, что свет представляет собой Э. в. В 1888 г. максвелловская теория Э. в. получила подтверждение в опытах Г.Герца, что сыграло решающую роль для ее утверждения.
Теория Максвелла позволила единым образом подойти к описанию радиоволн, света, рентгеновских лучей и гаммаизлучения. Оказалось, что это не излучения различной природы, а Э. в. с различной длиной волны.
…Особенности Э. в. и законы их возбуждения и распространения описываются Максвелла уравнениями».
Таким образом, основным признаком того, что все перечисленные виды излучения имеют «единую природу», послужило то обстоятельство, что все они распространяются с одинаковой скоростью – скоростью света, и это дало основание для их единообразного описания на базе уравнений Максвелла.
Следует отметить, что такого обоснования совершенно недостаточно для того, чтобы перечисленные виды излучений относить к общей природе. Общая скорость распространения может являться следствием некоторого общего свойства различных видов излучений. Таким свойством может быть, например, свойство вязкости эфира, которое обеспечивает передачу поперечного движения потока эфира соседним слоям. Если в структуре разных видов излучения присутствует этот вид движения, то, хотя эти виды разные, скорость их распространения будет одинаковой.
Главным признаком, по которому можно обобщать те или иные виды излучения, должна быть их внутренняя структура. Только одинаковость структуры может явиться основанием для отнесения излучения к одному классу явлений.
О том, в какую ошибку можно впасть, прямо свидетельствует отнесение электромагнитного и оптического излучений к общему классу явлений. В настоящее время существует множество научных трудов, в которых для описания оптических явлений используются уравнения Максвелла электромагнитного поля. Однако оказалось, что проникающая способность света в полупроводящей среде – морской воде, обладающей достаточно высокой проводимостью, по крайней мере, на пять (!) порядков не соответствует расчетам, произведенным на основании уравнений Максвелла: свет в морской и океанской воде проникает вглубь на 100–150 м, в то время как, исходя из параметров среды и уравнений Максвелла, он должен проникать в морскую воду не далее чем на доли миллиметра. Поэтому относить свет к электромагнитному излучению нельзя, и все попытки применить уравнения Максвелла к оптическим явлениям носят искусственный характер.
Для сопряжения теории и практических результатов были изобретены различные искусственные приемы, например, выдвинуто предположение о том, что на высоких частотах проводимость воды падает, и этим объясняются полученные результаты. Но и здесь расчеты никак не подтверждаются физическим механизмом явления.
Таким образом, в вопросах о распространении электромагнитного излучения до настоящего времени нет должной ясности.
Однако эфиродинамический подход, основанный на представлениях о близкодействии, т. е. на представлениях о передаче электромагнитных взаимодействий через эфир, позволяет уточнить представление о самой сущности электромагнитных явлений и на этой основе уточнить математические выражения, описывающие эти явления, в частности, уточнить уравнения Максвелла, придав им динамический характер.
Как известно, уравнения электродинамики по Максвеллу в современном изображении имеют вид [2]:
Здесь Е и Н соответственно напряженности электрического и магнитного полей; D = εЕ и В = μН – соответственно электрическая и магнитная индукции; ε и μ – электрическая и магнитная проницаемости среды; j = σE – плотность тока проводимости; σ – удельная электропроводность среды; ρ – плотность электрического заряда в среде.
При этом
или
соответственно
во вторых выражениях ротор представлен через градиенты.
Для решения системы уравнений Максвелла вводятся скалярный электрический φ и векторный магнитный А потенциалы, так что
При этом если скалярный потенциал φ имеет физический смысл работы, которую нужно выполнить для перемещения единичного заряда из бесконечности в данную точку электрического поля, то векторный потенциал имеет лишь чисто математический смысл как некоторая вспомогательная функция, использование которой имеет лишь методическое значение.
Указанные выше уравнения Максвелла имеют дифференциальную форму. Им соответствуют уравнения электродинамики в интегральной форме
1. Закон Фарадея электромагнитной индукции
2. Закон полного тока
3. Теорема Остроградского – Гаусса для электрического поля
4. Теорема Остроградского – Гаусса для магнитного поля
Здесь Фе и Фм — соответственно потоки электрического смещения D и магнитной индукции B сквозь замкнутую поверхность dS, охватывающую свободный заряд q.
Разберем последовательно физический смысл уравнений.
и соответствующее ему интегральное уравнение
выражают тот факт, что если в замкнутом контуре изменяется магнитный поток, то в самом контуре возбуждается ЭДС е, величина которой определится указанными уравнениями. В частности, если контур лежит в плоскости ху, то магнитная индукция имеет направление оси z, перпендикулярной плоскости ху. Тогда будем иметь:
где S – площадь контура.
1) Приведенное уравнение предполагает возможность изменения магнитной напряженности вдоль оси z без какого бы то ни было поперечного перемещения магнитного поля в пространстве.
Однако следует заметить, что реально такого процесса в природе не существует. На самом деле изменения напряженности магнитного поля можно добиться только сгущением силовых линий и добавлением их в контур с боков контура (рис. 6.1).
При этом ЭДС в контуре возникает не за счет изменения напряженности магнитного поля внутри контура, а за счет пересечения проводников контура магнитными силовыми линиями, добавляемыми к тем, что уже имеются внутри контура. Таким образом, реальный механизм появления ЭДС в контуре иной, нежели предусмотрен первым уравнением Максвелла, соответственно должно быть несколько иным и само уравнение, описывающее этот процесс. Главное то, что в первом уравнении Максвелла отсутствует описание процесса пересечения силовыми линиями магнитного поля проводника контура.
2) Первое уравнение Максвелла описывает процесс в плоскости, но не в объеме. Собственно изменение напряженности Hz вдоль оси z в нем отсутствует. Поворот же плоскости в осях координат, когда в правую и левую части уравнения попадают все три декартовы координаты, сути не меняет.
Тем не менее, первое уравнение Максвелла и вытекающий из него интегральный закон Фарадея магнитной индукции позволяют производить расчеты трансформаторов и многих других магнитных систем, потому что формульное описание изменения магнитного поля внутри контура как следствия добавления магнитных силовых линий с боков контура, численно почти совпадает с математическим выражением Первого уравнения Максвелла, и это позволяет, игнорируя суть процесса, выполнять в большинстве случаев необходимые расчеты с удовлетворительной точностью. Однако иногда отклонения в расчетах превышают допустимые погрешности, причем весьма существенно.
3) В уравнении правая и левая части не эквивалентны. Правая часть уравнения выступает причиной, а левая часть – ее следствием. Если путем изменения магнитной индукции с постоянной скоростью можно создать на контуре постоянную ЭДС, то обратное действие не может быть реализовано, т.к. создав на контуре постоянную ЭДС никакого постоянного изменения магнитной индукции получить нельзя. Поэтому правильно было бы между правой и левой частями уравнения поставить не знак равенства, а знак "⇐", указывающий, что левая часть является следствием правой:
то же относится и к интегральной форме:
Следует заметить, что способов поменять местами причину и следствие в природе не существует, например, если, пропуская в проводниках контура постоянный ток, можно создать в нем магнитный поток, то обратная операция невозможна: нельзя, создав в контуре постоянный магнитный поток, получить в нем э.д.с.
и соответствующее ему интегральное уравнение (закон полного тока)
выражают тот факт, что если в проводнике течет ток, то вокруг проводника возникает магнитное поле, величину которого можно определить.
Принципиально второе уравнение Максвелла можно разделить на две части:
Интегральная форма – закон полного тока – отражает только первую часть, для второй части аналогичная форма отсутствует, хотя и может быть несложно написана, например, в виде
В отличие от первого уравнения второе уравнение Максвелла и закон полного тока отражают реальный процесс возникновения магнитного поля вокруг проводника. Однако и здесь можно сделать некоторые замечания.
1) Закон полного тока является аналогом закона постоянства циркуляции для вихревого движения невязкой и несжимаемой жидкости:
где v – скорость потока жидкости вокруг центра вихря, а Г – напряженность вихря. Этот закон отражает вихревую статику, т. е. движение жидкости в установившемся вихре. Соответственно и закон полного тока, и второе уравнение Максвелла отражают статику магнитного поля, а вовсе не динамику.
2) Как во втором уравнении Максвелла, так и в законе полного тока отсутствуют какие-либо изменения процессов во времени, поэтому, например, если изменилась величина тока, то в соответствии с уравнением закона полного тока величина напряженности
должна мгновенно измениться независимо от того, на каком расстоянии от самого проводника с током находится магнитная силовая линия. Никакого запаздывания процесса уравнением не предусмотрено, что противоречит смыслу, т.к. запаздывание следствия (напряженности магнитного поля) по отношению к причине, его вызвавшего, (току) должно быть.
3) Второе уравнение Максвелла, так же как и первое, описывает процесс в плоскости, но не в объеме. Собственно изменение напряженности Е вдоль его направления в нем отсутствует. И, так же, как и в первом уравнении, поворот плоскости в осях координат, когда и в правую, и в левую части уравнения попадают все три декартовы координаты, сути не меняет.
4) Во втором уравнении Максвелла, как и в первом, правая и левая части на самом деле не эквивалентны. Здесь также правая часть уравнения выступает причиной, а левая часть – ее следствием. Если путем изменения электрической индукции с постоянной скоростью или пропусканием постоянного тока через проводник можно создать в окрестностях проводника магнитное поле, то обратное действие не может быть реализовано, так как, создав в окрестностях проводника постоянное магнитное поле, никакого постоянного изменения электрической индукции или появления постоянного тока в проводнике получить нельзя. Поэтому и здесь правильно было бы между правой и левой частями уравнения поставить не знак равенства, а знак "⇐", указывающий, что левая часть является следствием правой:
и соответствующее ему интегральное уравнение (закон полного тока)
и соответствующее ему интегральное уравнение – теорема Остроградского–Гаусса для электрического поля
грешат тем же: в них отсутствует временной фактор, следовательно, это уравнения статики. Правда, если теорема Остроградского–Гаусса в учебниках обычно помещается в раздел электростатики, то дифференциальное выражение того же – третье уравнение Максвелла помещается в тех же учебниках в раздел динамики, что ничем не обосновано. То, что интегральная форма является формой статической, легко видеть из того обстоятельства, что определенное из этого выражения электрическое смещение
должно изменяться мгновенно при изменении заряда q. Обычным возражением против этого является то, что одиночный заряд изменить невозможно, а привнесение дополнительного заряда есть процесс дополнительный, который описывается уже совсем иначе. Тем не менее, математическое описание все равно должно предусматривать наличие запаздывающего потенциала, а этого в уравнении нет.
Кроме того, в уравнении следовало бы также определить причинно-следственные отношения в виде соответствующего их написания:
а также
и соответствующее ему интегральное уравнение – теорема Остроградского–Гаусса для магнитного поля
не вызывают особых возражений, кроме, разве что, своей недостаточности, так как они также фиксируют некоторую статику, кроме того, в них также отсутствует временной фактор. Четвертое дифференциальное уравнение Максвелла тоже без всякого обоснования помещается в учебниках в раздел динамики. Интегральная же форма, помещаемая в раздел статики, выражает тот очевидный факт, что магнитные силовые линии всегда замкнуты: сколько их вышло из замкнутой поверхности, столько же и должно войти в нее. Временных процессов она не отражает.
Таким образом, динамические процессы, протекающие в электромагнитном поле, отражаются не всеми четырьмя уравнениями Максвелла, а только первым и половиной второго, причем первое уравнение не отражает реального процесса возникновения ЭДС в проводнике при изменении во времени магнитного поля. Первая же половина второго уравнения Максвелла, а также третье и четвертое уравнения являются уравнениями вихревой статики и, в принципе, к электродинамике отношения не имеют.
И первое, и второе уравнения Максвелла игнорируют поля, находящиеся вне контуров. Однако соседние однонаправленные вихри, имея на своей периферии в сопредельных областях потоки среды – эфира противоположного направления, создают взаимную компенсацию полей (рис. 6.2).
Это обстоятельство не учтено первыми двумя уравнениями. Если бы это учитывалось, то, как электрическая, так и магнитная напряженности не всегда были бы одними и теми же для первого и второго уравнений.
Наконец, все уравнения Максвелла выведены из предположения об идеальности эфира и, следовательно, подразумевают отсутствие у него вязкости и сжимаемости. В таком эфире вихри не могут ни образовываться, ни исчезать, что полностью не соответствует опытным данным: напряжения и магнитные поля возникают и исчезают, но это не заложено в физику уравнений. В физику уравнений Максвелла также не заложена сжимаемость полей, непосредственно вытекающая из сжимаемости эфира.
Полученные Максвеллом уравнения электромагнитного поля на основе гидромеханических представлений электромагнитных явлений и их всесторонняя апробация во многих практических приложениях подтверждают правомерность метода аналогий, использованного Максвеллом, и, казалось бы, из этого не вытекает необходимость какого-либо уточнения уравнений электродинамики.
Однако эти уравнения в соответствии с представлениями Гельмгольца о поведении вихрей в жидкости отражают всего лишь процесс перемещения вихрей в пространстве и не отражают процесса образования этих вихрей. Для того чтобы рассмотреть процесс в целом, необходимо провести дополнительные построения.
Таким образом, уравнения электродинамики Максвелла не являются совершенными, как не является совершенным ничто на свете. И поэтому над ними нужно продолжать работать.
Рассмотрим элементарный объем среды, находящейся под воздействием приложенной ЭДС, а также внешних магнитных полей (рис. 6.3).
Из модели электрического поля следует, что ток является следствием электрической напряженности, действующей в цепи, а магнитное поле вокруг проводника является следствием упорядоченной ориентации в проводнике электрических зарядов. Для элемента среды в данной цепи необходимо учитывать три электрических напряженности, суммирующиеся друг с другом и создающие электрический ток: Еφ – напряженность от внешнего источника ЭДС; ЕН v1 – напряженность, наводимую со стороны других токов, меняющихся во времени, внешних по отношению к рассматриваемому объему; здесь следует учитывать, что магнитное поле, создающее эту ЭДС само имеет волновой характер; ЕН v2 – напряженность, наводимую со стороны источника, движущегося относительно рассматриваемого объема.
Плотность тока δе, возникающего в цепи, определяется этими напряженностями и проводимостью среды. В свою очередь, ток вызовет магнитное поле, напряженность которого равна ЕН L, так что
где
есть векторная сумма производных электрических напряженностей электрического поля по времени (скорости изменения) в точке, в которой определяется наведенная напряженность магнитного поля HEL.
Аналогично при рассмотрении элементарного объема среды, находящегося под воздействием приложенной внешней МДС (магнитодвижущей силы), а также под влиянием внешних магнитных полей (рис. 6.4), получим:
где
есть векторная сумма производных по времени (скорости изменения) напряженностей магнитного поля в точке, в которой определяется наведенная напряженность электрического поля EE.
Следует отметить, что используемая аналогия не строго корректна и должна быть в дальнейшем экспериментально подтверждена.
При отсутствии перемещающихся относительно объема источников магнитного и электрического полей, уравнения преобразуются в вид
Приведенные выражения представляют собой модифицированные Второе и Первое уравнения Максвелла, отличающиеся от последних тем, что обычно используемый в уравнениях Максвелла «сторонний ток» выражен через напряженности, а также с учетом источников электрического и магнитного полей, внешних относительно рассматриваемого объема. Представленные в такой измененной форме уравнения электромагнитного поля позволяют сделать некоторые отличные от обычных выводы.
Действительно, в общем случае напряженности магнитного и электрического полей, используемые в обоих уравнениях, разные, а не одинаковые, как это имеет место в уравнениях Максвелла.
Напряженность магнитного поля Hψ, стоящая в левой части первого уравнения (модернизированного Первого уравнения Максвелла), является частью всей электрической напряженности правой части второго уравнения (модернизированного Второго уравнения Максвелла); напряженность электрического поля Hφ, стоящая в левой части Второго уравнения, является частью всей магнитной напряженности правой части Первого уравнения.
Чтобы показать, что полученный результат не столь тривиален, как это может показаться с первого взгляда, рассмотрим частный случай, при котором δе ≠ 0, в то время как HΣ = 0, т. е. ток течет и меняется во времени, а магнитное поле отсутствует.
В самом деле, если электрическое поле направлено вдоль оси z, а в плоскости ху распределено равномерно, то тогда
и, следовательно,
откуда
т.е. происходит полная компенсация магнитного поля. Фактически все второе уравнение обращается в нуль, а первое уравнение остается в прежнем виде.
Аналогично, если магнитное поле направлено вдоль оси z, а в плоскости ху распределено равномерно, то тогда
то
откуда
т.е. происходит полная компенсация электрического поля. Тогда первое уравнение обращается в нуль, а второе уравнение остается в прежнем виде.
В каждой точке пространства произошла полная компенсация полей, внутреннего и внешнего по отношению к любому рассматриваемому объему, хотя и складывается на первый взгляд парадоксальная ситуация: при наличии переменного во времени электрического тока магнитное поле полностью отсутствует. На самом деле это поле полностью скомпенсировано в каждой точке пространства, и, если какой-то объем проводника извлечь, то по границам этого вынутого объема и в самом объеме немедленно появится соответствующее магнитное поле.
Экспериментальная проверка высказанных положений подтвердила их.
В эксперименте была использована плоскость, на которой был размещен ряд проволочных контуров, включенных последовательно, через которые пропускался переменный ток. Контура создавали переменное магнитное поле в окружающем их пространстве. Над контурами размещалась измерительная рамка, к которой был подключен измерительный прибор. Переключение контуров осуществлялось таким образом, что поочередно мог подключаться соответствующий контур проволочных контуров.
Эксперимент показал, что по мере подключения внутренних по отношению к измерительной рамке контуров ЭДС на ней растет, а по мере последующего подключения внешних по отношению к рамке контуров ЭДС начинает уменьшаться (рис. 6.5). Это оказалось справедливым для всех размеров рамок. Тем самым высказанные выше положения получили экспериментальное подтверждение.
Следует отметить, что рассмотренная задача с равномерными пульсирующими во времени полями непосредственно с помощью уравнений Максвелла не может быть решена, так как в них электрические и магнитные напряженности в обоих уравнениях равны между собой, «сторонних токов» здесь также нет. Проследить факт взаимной компенсации составляющих полей по этим уравнениям трудно. Нулевой результат как решение задачи на основе уравнений Максвелла возможен лишь в том случае, если все составляющие полей и токов равны нулю, что противоречит исходным условиям задачи.
Приведенные модернизированные уравнения электродинамики почти полностью совпадают с первыми двумя уравнениями Максвелла, если рассматривать границу распространяющегося в пространстве поля при условии, что за этой границей (в сторону распространения) нет источников поля. Тогда уравнения приобретают вид уравнений Максвелла:
Соответственно может быть уточнен и закон Фарадея
В уточненном виде он приобретет вид
и при Bi = Be е = 0. Индексы «i» и «e» означают «internal (внутренний)» и «external (внешний)».
По аналогии с законом электромагнитной индукции Фарадея на основании уравнения электромагнитного поля можно предложить выражение для магнитоэлектрической индукции
где S – площадь контура, охватывающего протекающий в среде ток.
Отличие от закона полного тока здесь также заключается в учете внешних относительно контура полей.
Рассмотрим процесс распространения поля электрической индукции в пространстве (рис. 6.6).
Факт распространения вихревого движения жидкости вдоль оси вихря позволяет сформулировать положение о том, что поток вектора вихря, а соответственно и поток индукции, входящий в некоторый объем, не равны потоку вектора, а соответственно и потоку электрической индукции, выходящего из этого объема, причем разница будет обусловливаться запаздыванием потока вихря вдоль оси.
Если поток вектора электрической индукции D от заряда q проходит через поверхность параллелепипеда со сторонами dx, dy, dz, то потоки вектора D, прошедшие через грани, равны соответственно:
сквозь ближайшую грань:
сквозь дальнюю грань:
сквозь левую грань:
сквозь правую грань:
сквозь нижнюю грань:
сквозь верхнюю грань:
Суммируя потоки через все грани и деля их сумму на объем параллелепипеда, находим:
где
и, таким образом,
или
что отличается от третьего уравнения Максвелла наличием члена дD/ cдt .
Полученное дифференциальное уравнение первой степени имеет решение при ρ = 0
т.е. это волна, а само уравнение – волновое уравнение первой степени и отражает продольное распространение волны.
Теорема Гаусса при этом несколько видоизменяется и приобретает следующую форму:
Поскольку ток в среде распространяется вдоль потока D и его плотность δ пропорциональна D, то для плотности тока справедливо соотношение
т.е. распространение тока в среде носит волновой характер.
Данное положение противоречит известному статическому закону Кирхгофа о том, что сумма всех токов для любой точки электрической цепи в любой момент времени равна нулю, т. е. что
Из уравнения же 6.63 вытекает, что закон Кирхгофа справедлив лишь в среднем, но в каждый момент времени
поскольку волновой процесс подразумевает сжимаемость тока.
Для проверки данного положения был проведен эксперимент по схеме рис. 6.8.
Предполагалось, что при замыкании контакта на длине отрезка провода, прилегающем к контакту, должна возникнуть максимальная плотность тока и, как следствие, короткий импульс напряжения. Этот импульс должен уменьшаться по амплитуде и расширяться по мере отступа от контакта.
Два провода длиной каждый по несколько метров были подключены к источнику постоянного напряжения (обычной батарейке). От каждого из проводов были сделаны отводы через 1 м. Провода периодически замыкались контактом. Отводы подключались к высокочастотному электронному осциллографу. Идея эксперимента заключалась в том, чтобы определить, как растекается ток по проводу при замыкании цепи, на разомкнутых концах которой находится полная разность потенциалов.
В результате проведения эксперимента выяснилось, что, как и предполагалось, при замыкании контакта на ближних к нему отводах возникает острый импульс, амплитудой почти в полное напряжение источника, на следующих отводах этот импульс оказывается меньше по амплитуде, но шире по времени, на следующих еще меньше по амплитуде и еще шире по времени. Это свидетельствует о сжимаемости электрического тока в проводе и о волновом характере его распространения.
Таким образом, факт сжимаемости тока был подтвержден.
Магнитная индукция в среде распространяется перпендикулярно направлению вектора, но уравнение распространения будет подобным уравнению распространения электрической индукции:
откуда следует, что и сама магнитная индукция распространяется как волна:
С учетом изложенного дифференциальные уравнения электромагнитного поля приобретают вид:
Здесь D – вектор электрической индукции, δе – вектор плотности электрического тока в среде, B – вектор магнитной индукции.
Интегральные выражения приобретут вид:
Здесь e и eм – электрическая и магнитная разность потенциалов; Фе и Фм – электрический и магнитный потоки; i – электрический ток в проводнике; q – заряд, перемещающийся в направлении электрического тока (направленное перемещение придает ему форму вектора).
Первое выражение – закон Фарадея электромагнитной индукции и второе – закон полного тока отличаются от обычных наличием в них запаздывания.
Приведенные выше уравнения электромагнитного поля частным решением имеют уравнения Максвелла, справедливые для электромагнитного волнового фронта, однако в ряде случаев позволяют решить некоторые задачи, которые нельзя решить на основе максвелловских уравнений, например задачу об излучения диполя с сосредоточенными параметрами в полупроводящей среде. При выполнении ряда условий в таком диполе основная доля энергии будет распространяться не в поперечном относительно векторов E и H направлении, а в направлении вектора E и перпендикулярно вектору H. Это продольное распространение электромагнитного поля практически еще не изучено, хотя и подтверждено экспериментально.
Необходимо отметить, что указанным выше вовсе не должно закончиться уточнение уравнений электромагнитного поля. Этот процесс должен продолжаться все то время, пока будет возникать необходимость во все более полном решении прикладных задач. Так, например, в дальнейшем при формулировке Закона полного тока следует учесть факт сжимаемости эфира, следовательно, сжимаемость самого магнитного поля и соответствующее изменение закона гиперболического убывания напряженности магнитного поля вблизи проводника.
Таким образом, эфиродинамические представления позволяют уточнить формулировки электромагнетизма в некоторых случаях существенным образом. Проведенные уточнения ни в коем случае не являются полными. Описание электромагнитного поля, как и любого физического явления, может уточняться беспредельно по мере увеличения числа сторон и свойств полей, охватываемых моделями, поскольку общее число сторон и свойств любого явления бесконечно велико.
Как известно, всякая среда, в которой распространяются электромагнитные волны, характеризуется удельной проводимостью σ, магнитной проницаемостью и диэлектрической проницаемостью. Магнитная проницаемость среды составляет μ0·μ, где μ0 = 4π·10–7 Гн/м, μ – относительная магнитная проницаемость среды, Диэлектрическая проницаемость среды составляет ε0·ε, где ε0 = 8,85·10–12 Ф/м, ε – относительная диэлектрическая проницаемость среды. Однако для различных сред соотношения могут быть самыми разными, так что для некоторых из них, считающимися полупроводящими, основную роль играет либо только диэлектрическая проницаемость, т.к. активная проницаемость отсутствует (воздух, вакуум), либо, наоборот, диэлектрическая проницаемость не играет роли, поскольку равенство реактивной и активной составляющих токов наступает только при частотах, составляющих порядка 1000 мГц (морская вода). На меньших частотах морскую воду можно отнести к чисто активным проводящим средам. Разумеется, могут быть и исключения, когда приходится считаться со всеми параметрами среды.
Для любых однородных сплошных проводящих сред при проведении тока как постоянного, так и переменного происходит компенсация магнитного поля в каждой точке среды (рис. 6.2), поэтому магнитное поле в среде отсутствует, и правильно говорить не об электромагнитных, а только об электрических волнах в среде.
Следует отметить, что распространение электрической составляющей в сплошной среде происходит без участия магнитного поля даже для переменного тока, поскольку магнитное поле оказывается полностью скомпенсированным в каждой точке среды (рис. 6.2). Для его получения необходимо часть среды заменить на среду с иной проводимостью, например на изолятор. Тогда в этом пространстве магнитное поле возникнет (рис. 6.12).
При наличии нескольких зарядов в среде от каждого из них в каждой точке среды будет иметь место суммирование векторов напряженностей электрического поля:
Если каждый из зарядов изменяет свое значение во времени по синусоидальному закону, то
где i = √-1 , rk – расстояние от точки среды до центра заряда.
Поскольку плотность тока, излучаемого в среду, связана с
напряженностью выражением
где σ – удельная проводимость среды, ω = 2πf, f – частота, εo – диэлектрическая проницаемость вакуума, ε – относительная проницаемость среды, то имеем
В случае двух зарядов (излучающих электродов), пульсирующих с одинаковыми амплитудой и частотой, излучающих в среду одинаковый по величине ток, но в противофазе (диполь), имеем:
На рис. 6.7а показано продольное распространение электрического поля в случае одиночного пульсирующего заряда.
Хотя реально одиночный пульсирующий заряд создать нельзя, используя принцип суперпозиции и отделив пульсирующие заряды диполя с сосредоточенными параметрами друг от друга, по крайней мере, теоретически это вполне допустимо. Вектор распространения мощности строится по обычным правилам паралеллограмма с той, однако, разницей, что здесь необходимо вектор электрической напряженности, направленный в сторону одного из пульсирующих зарядов (на рис 6.7 вектор Е2) перевернуть вдоль его оси в обратную сторону.
Вдоль оси диполя:
поперек оси диполя:
где dизл и dпр – соответственно расстояние между электродами излучателя и приемника.
Диаграмма направленности будет вытянута вдоль оси диполя и она будет вытянута тем сильнее, чем больше будет расстояние приемника от излучателя. А около самого излучателя она будет близка к круговой.
Стоит напомнить, что в соответствии с уравнениями Максвелла вдоль оси диполя вообще не должно быть никакого излучения, поэтому, когда профессора-электрики утверждают, что продольное излучение не соответствует уравнениям Максвелла, то они абсолютно правы. Они не правы в том, что из этого обстоятельства делается вывод о том, что такого излучения вообще быть не может, так, по крайней мере, в свое время утверждал академик И.Е.Тамм, что послужило причиной закрытия работ по исследованиям продольных электромагнитных волн. Но и академики могут ошибаться, только, к сожалению, их ошибки обходятся дорого.
Квазистатическим полем токов растекания считается случай, когда длина электромагнитной волны соизмерима с расстоянием от приемника до источника либо превышает его. С точки зрения эфиродинамики это зона, в которой электромагнитная волна продолжает подпитываться от источника. Поэтому затухание амплитуды с увеличением расстояния здесь зависит только от геометрии и мало зависит от свойств среды и частоты тока. При этом длина волны вовсе не обязательно соизмерима с расстоянием от источника.
Очевидно, что при использовании диполя с сосредоточенными параметрами основная мощность излучения затрачивается на ближнюю зону. В полупроводящей и полностью проводящей среде эту зону можно искусственно исключить, установив между электродами пластину из изоляционного материала и перераспределив тем самым ток в дальнюю зону (рис. 6.10), существенно увеличив дальность распространения токов рассеяния.
Фактически в этом случае происходит как бы увеличение расстояния между электродами, что и способствует увеличению плотности тока на больших расстояниях. В то же время для генератора, работающего на электроды через относительно короткие кабели, создаются оптимальные условия. Поэтому в морских условиях при создании береговых станций излучения электрических волн наилучшим видом расположения будет территория на возможно более узком перешейке полуострова, имеющего возможно большую длину береговой линии.
С точки зрения минимизации потерь мощности излучения требуется также обратить внимание на потери мощности вблизи излучающих электродов.
Следует помнить, что потери энергии в ближней зоне прямо зависят от площади электродов, поскольку сопротивление слоя среды вблизи электрода и соответственно выделяемая в его окрестности тепловая мощность пропорциональны площади, как это и следует из обычного закона Ома (рис. 6.11). Поэтому для уменьшения потерь в ближней зоне целесообразно по возможности максимально увеличивать площадь электродов.
В дополнение целесообразно напомнить, что для морской воды, являющейся типично полупроводящей средой, проводимость находится в пределах 1–10 Ом–1∙м–1. Это означает, что на всех частотах, меньших 800 мГц, преобладающей будет не реактивная, а активная составляющая, т. е. на всех меньших частотах среда является обычным резисторным проводником, практически безо всякой реактивной (емкостной) составляющей.
Наконец, не следует забывать, что затухание сигнала в глубь воды происходит по экспоненциальному закону, что было проверено автором. Это вполне соответствует закону распространения электромагнитной волны в соответствии с уравнениями Максвелла, а именно:
Здесь Н – напряженность магнитного поля в среде, Н0 – напряженность магнитного поля на поверхности среды, μ – магнитная проницаемость, σ – проводимость среды, ω = 2πf, где f – частота электромагнитной волны, h – расстояние от поверхности среды до точки измерения магнитной напряженности внутри среды.
Поэтому рассчитывать на большую глубину проникновения сигнала можно при использовании относительно низких частот звукового диапазона порядка сотен Герц.
Экспериментальная проверка настоящего положения в поверхностном слое морской воды Черного моря полностью его подтвердила: при частоте пропускаемого тока в 1 мГц на поверхности воды сигнал имеет максимальное значение, на глубине в 1 м изменяется слабо, на глубине в 2 м значительно ослаблен, на глубине в 3 м. практически полностью отсутствует.
Эксперименты по проверке создания и распространения токов растекания в пресной воде были последовательно проведены на Кратовском и Медвежьем озерах Московской области (196465 гг), а затем были перенесены на Москва-реку, где была оборудована база, просуществовавшая почти 3 года с 1965 по 1968 гг.
В первых двух экспериментах были использованы электромашинные преобразователи, питающиеся от аккумуляторов и выдающие напряжение 36 в 400 Гц. Прием осуществлялся низкочастотным приемником, приемными антеннами служили плоские электроды из нержавеющей стали. Индикатором служили обычные наушники.
Прием осуществлялся с лодки, перемещавшейся по всей поверхности озера. Результат оказался положительным, слышимость была четкая и прекращалась, если один из электродов вынимался из воды.
При переносе эксперимента на Москва-реку в 1965 г. использовался специально созданный генератор, генерирующий выходной сигнал 3 мГц с модуляцией от микрофона. Электродами служили две дюралевых трубы, вбитые в дно на расстоянии около 10 м. друг от друга. Прием сигнала осуществлялся с борта катера, уходившего по Москва-реке на дальность до 15 км. Прием сигнала был четкий, голос оператора легко узнаваем, но вблизи обрушенной в Москва-реку железной фермы старого моста сигнал затух в нескольких десятках метров от фермы. При вынимании одного электрода из воды прием прекращался.
Было проведено несколько выездов на берег Черного моря, целью которых была проверка работоспособности аппаратуры. Выяснилось, что существовавшая тогда обычная аппаратура для поставленных целей не пригодна.
В 1970 г. была создана специальная аппаратура – текстолитовые герметичные контейнеры для генератора и приемника, генератор токов частотой в 1мГц мощностью 400 Вт, способный работать на низкоомную нагрузку в 14 Ома (разработка НИИ электродинамики, г. Киев), специальные кабели длиной в несколько десятков метров, электроды из нержавеющей стали и другие элементы. Эксперимент был вынесен на мыс Хамелеон в Крым.
Генератор с питающими аккумуляторами устанавливался в сквозном тоннеле у основания мыса, кабели подключались к генератору и вместе с электродами – пластинами из нержавеющей стали площадью в 1 кв. м. спускались по разным сторонам мыса и укладывались на дно.
Прием сигналов генератора производился с борта катера путем спуска приемных электродов в воду. К сожалению, эксперимент, хотя и дал положительные результаты, все же носил более качественный характер. Однако эти результаты были использованы для дальнейшего усовершенствования аппаратуры, главным образом, излучающей.
Именно в результате этих исследований стала ясна необходимость применения продольного резонанса для обеспечения выхода энергии от генератора через кабели к электродам.
Одним из существенных критериев выбора места для установки генератора является отношение длины береговой линии к ширине перешейка. В мире имеются два места, являющиеся оптимальными по данному критерию, это полуостров Синоп на северном берегу Турции (длина береговой линии 11 км, ширина перешейка 200 м, отношение – 55) и Панамский перешеек (длина береговой линии каждого материка порядка 14–15 тысяч километров, ширина перешейка около 80 км, с учетом параллельности токов обоих берегов их отношение составляет около 100).
Полуостров Синоп в северо-восточной части имеет мыс с узким перешейком шириной около 200 м и длиной береговой линии около 11 км. Мыс идеально приспособлен для использования низкочастотных токов растекания, поскольку вся ближняя зона излучения вырублена мысом. Отношение длины береговой линии к ширине перешейка составляет около 55.
Длина Панамского канала в наиболее низкой его части — в 81,6 км, в т.ч. 65,2 км по суше и 16,4 км по дну. Длина береговой линии каждого материка Северной и Южной Америк примерно по 15 000 км, эквивалент – 7500 км. Отношение длин береговой линии и перешейка порядка 100. Идеальная структура для распространения низкочастотных токов растекания по всем океанам
Представляет специальный интерес случай излучения диполем переменного тока, при котором d = λ/2, где λ – длина волны электрического поля в среде. В этом случае к тому моменту, когда волна от дальнего электрода достигнет ближнего электрода, напряжение на ближнем электроде изменит полярность на противоположную и далее будет распространяться не разность электрических напряженностей, а их сумма:
что приведет не к кубическому, а всего лишь к квадратичному затуханию напряженности по расстоянию вдоль оси диполя. Уравнениями Максвелла такой вариант не предусмотрен.
Необходимо отметить, что при d = λ/2 основная мощность распространяется не в поперечном, а в продольном направлении, при этом плотность тока в среде не зависит от параметров среды, от площади электродов и от частоты тока, а только от величины излучаемого тока. На рис. 6.9 приведен электрический диполь с сосредоточенными параметрами, для которого выполнены необходимые построения вектора потока излучаемой мощности.
Отсюда следует не тривиальный вывод о том, что диполь с сосредоточенными параметрами способен излучать энергию вдоль своей оси, что, безусловно, противоречит выводам, вытекающим из уравнений Максвелла.
Для диполя с сосредоточенными параметрами, состоящего из двух электродов, плотность тока в ближней зоне определяется путем геометрического суммирования соответственно двух токов с учетом, их знаков и запаздывания. Из суммирования токов видно, что распространение идет от диполя во все стороны, при этом по оси симметрии диполя волна электрической напряженности распространяется в поперечном направлении, а вдоль оси диполя – в продольном. При этом напряженность поля в каждой точке среды от ближнего электрода в ней будет больше, чем от дальнего. Эта разность напряженностей для симметричного диполя с расстоянием между электродами d составит для постоянного тока вдоль оси диполя
где r – расстояние от точки до ближнего электрода.
Если d << r, то
По оси симметрии диполя имеем:
Из рисунка видно, что вдоль оси диполя векторы мощности, скорости распространения и электрической напряженности совпадают по направлению с направлением оси диполя, а поперек оси диполя вектор распространения мощности перпендикулярен оси диполя, а вектор электрической напряженности параллелен оси диполя и перпендикулярен направлению распространения мощности, как это и бывает в обычных радиоволнах..
Основная мощность при этом излучается не поперек, а вдоль оси диполя.
Как было показано выше, при развитии элементарной трубки электрического поля в продольном направлении на ее торце поток эфира перемещается в направлении, перпендикулярном ее оси.
Следовательно, развитие электрического поля в пространстве во всех направлениях будет происходить со скоростью одинаковой и равной скорости распространения света в данной среде, независимо от значения вектора потока плотности мощности. Поэтому скорость распространения тока в среде будет той же, что и скорость распространения электрической индукции, т. е.
где с – скорость света в вакууме, а ε – относительная диэлектрическая проницаемость среды. Отсюда длина электрической волны в среде определится как
Плотность тока на излучающем электроде, имеющем площадь излучения S, составляет
и на расстоянии r от электрода определится как
Ток, истекающий из каждого электрода диполя с сосредоточенными параметрами, распространяется радиально во все стороны. И если известна величина этого тока, то плотность этого тока в каждой точке среды определяется простым соотношением
Вдоль оси диполя при расстоянии между электродами d = λ/2, плотность тока составит:
Здесь r1 – расстояние вдоль оси диполя от ближайшего электрода.
Следует обратить внимание на то, что плотность тока, по крайней мере, в ближней зоне от источника оказывается независимой ни от свойств среды, ни от временных параметров самого тока. Обычным возражением здесь является наличие потерь в среде. Однако следует напомнить, что ток, пропускаемый через обычный резистор, на его выходе имеет ту же величину, что и на входе, несмотря на потери энергии в этом резисторе, которые выражаются той или иной величиной падения напряжения на резисторе.
Для проверки факта распространения электрического поля и соответственно электрического тока вдоль направления своих векторов был проведен эксперимент, в котором использовался резиновый шланг, наполненный подсоленой водой и подвешенный на нитях на крыше здания (рис. 6.15).
В шланг помещались два диполя с сосредоточенными параметрами – излучающий, соединенный через коаксиальный кабель с генератором синусоидальных колебаний Г, и приемный, соединенный через коаксиальный кабель с приемником П – диодным мостом с микроамперметром. Шланг с водой имеет паразитную емкость Спар со стенками помещения.
Включение электродов через коаксиальные кабели исключило возможность появления каких-либо паразитных контуров.
При изменении расстояния d между диполями в связи с не разветвленностью тока сигнал в приемнике не должен меняться, по крайней мере, до тех пор, пока сопротивление канала не окажется соизмеримым с сопротивлением паразитных емкостей. Это происходит на некотором расстоянии d, так как сопротивление воды в канале и проводимость паразитной емкости Спар пропорциональны отношению d/δ. На рис. 6.16 приведены полученные зависимости. Результат полностью подтвердил ожидания. При этом выяснилось, что увеличение солености воды, т. е. увеличение ее проводимости увеличивает полезный сигнал и увеличивает зону постоянной амплитуды выходного сигнала, однако сокращает дальность распространения..
В дальнейшем следует проверить факт роста затухания продольной волны при различных значения активной проводимости среды. Следует иметь в виду, что затухание в полупроводящей среде продольной волны может быть также следствием того, что энергия каждой полуволны фактически самостоятельна, поэтому причина затухания продольной волны в полупроводящей среде может быть той же, что и у поперечных волн.
Во втором эксперименте использовался диполь с плоскими электродами с фиксацией напряженности и электрической энергии вторым диполем. Эксперимент ставился в тонком плоском слое полупроводящей среды.
На рис. 6.17 показана диаграмма распространения электрического поля.
Эксперименты по проверке создания и распространения продольных электрических волн в морской воде были проведены на берегу Черного моря в поселке Приморское вблизи города Феодосия в конце 80годов прошлого столетия. Целью экспериментов была проверка факта возможности создания электрических высокочастотных колебаний в морской воде – полупроводящей среде. Подготовка к проведению эксперимента заняла несколько лет в связи с не плановостью самой работы и необходимостью преодоления многочисленных организационных, а главное технических трудностей, не предусмотренных при начале работ. Такими трудностями являлись:
– теоретическое обоснование возможности существования продольных электрических волн, основная энергия которых излучается вдоль оси диполя с сосредоточенными параметрами, а также обоснования возможности прохождения продольных электрических волн, в которых направление распространения совпадает с направлением вектора электрической напряженности;
– возможность прохождения продольных электрических волн в морской воде как чисто активной среде, поскольку реактивная составляющая среды только сравняется с активной при частоте не мнее 800 МГц;
– определение зависимости активных потерь от площади излучающих электродов;
– необходимость создания излучающего генератора мощностью в несколько сотен Ватт, способного излучать высокочастотную (мегаГерцы) энергию в низкооомную (единицы Ом) нагрузку;
– необходимость создания специальных кабелей, способных передавать мощное высокочастотное электрическое излучение от генератора к электродам;
– необходимость выявления способов передачи высокочастотной мощности от генератора к электродам с учетом их распределенной индуктивности и емкости (без специальной подстройки энергия к электродам не поступает);
– необходимость создания приемника, способного принимать высокочастотные сигналы, выраженные нановольтами;
– необходимость согласования входа приемника с низкоомной средой, в которой сигнал выражен нановольтами, а также ряд других.
Все перечисленные проблемы были решены, хотя с перерывами, на это потребовалось порядка 30 лет, поскольку все эти работы носили не плановый характер.
Особую трудность представила проблема сопряжения генератора и приемника с параметрами среды – морской воды. Дело в том, что нагрузка на генератор со стороны среды составляет единицы Ом, но основную трудность представляет задача передачи энергии от генератора на электроды через кабели, распределенная индуктивность которых составляет несколько микроГенри, а распределенная емкость на воду несколько сотен пикоФарад. Выход нашелся в том, что последовательно с кабелями на выходе генератора был установлен последовательный контур из проволочной катушки, индуктивность которой значительно превышала индуктивность кабеля, рабочее напряжение высокочастотных конденсаторов составляло более 10 кВ, они имели разную емкость и могли подключаться параллельно друг другу. В приемнике нужно было установить подобное устройство, но этого сделано не было, так что аппаратура была существенно недоиспользована. Тем не менее в целом результаты оказались положительными.
После проведения всех работ, создания аппаратуры и проведения предварительных исследований в различных базах Черного моря результаты были предъявлены специально созданной Комиссии с выездом Комиссии на побережье Черного моря в район Феодосии.
Созданный с помощью Института электродинамики (Киев) генератор излучал электрические колебания частотой 1 МГц с двойной модуляцией в 1 кГц и импульсной модуляцией меандром с частотой в 1 Гц и мощностью до 400 Вт. Разработанный в Филиале ЛИИ приемник был настроен на прием несущей частоты в 1 МГц. Генератор и приемник были размещены каждый в своем герметичном текстолитовом контейнере, там же располагались серебряно-цинковые аккумуляторы, обеспечивающие автономное питание аппаратуры. Питание включалось через замыкание герметичных выводов контейнера. По торцам каждого контенейра были вделаны два латунных герметичных вывода, к которым подключались кабели, соединяющие генератор и приемник с плоскими электродами, погружаемыми в воду. Излучающие электроды представляли собой плоскую пластину нержавеющей стали толщиной в 1 мм и площадью в 1 кв.м. Приемные электроды были аналогичными
Схема расположения генератора приведена на рис. 6.18.
На поверхности пирса был установлен текстолитовый контейнер с генератором, питающимся серебрянноцинковым аккумулятором и согласующим резонансным устройством (дополнительная индуктивность, включенная последовательно с кабелем и набор высокочастотных высоковольтных конденсаторов). Последовательный резонанс настраивался при снятой крышке по максимуму тока, затем крышка закрывалась и питание выключалось внешним выключателем. Второй контейнер с приемной аппаратурой был отвезен по берегу на расстояние 10 км и погружен в воду (рис. 6.19).
В условленное время на пирсе включался генератор, и в это же время осуществлялся прием сигнала приемником. Индикация приема устанавливалась по показаниям миллиамперметра, установленного под прозрачными окошками контейнера и по звукам наушников, подключенных к выведенным из контейнера приемника контактам. Отклонения стрелки доходили до половины шкалы, показания были четкими, слышимость сигналов через наушники была также вполне удовлетворительной, что и было зафиксировано комиссией.
Попутно были выявлены следующие особенности:
1. При отклонении передающих электродов от направления на точку расположения приемника сигнал приемником не улавливался, что подтверждало узость диаграммы направленности.
2. Вынимание любого электрода из воды, как у генератора, так и у приемника полностью прекращало связь.
3. Попытка отдельным приемником при действующем водном каналем связи обнаружить сигнал в воздухе успехом не увенчалась: в воздух сигнал не проходил.
4. При предварительных исследованиях было выяснено, что сигнал проходит до глубины не более 2,5-3-х метров, далее сигнал на частоте в 1 мГц не проходит.
1. Парадоксы и трудности решения некоторых задач электродинамики связаны с несовершенством уравнений электромагнитного поля, базирующихся на модели идеализированного (невязкого и несжимаемого) эфира и игнорировании запаздывания в уравнениях электромагнетизма и в формульных выражениях некоторых электромагнитных законов. Совершенствование уравнений электромагнитного поля и законов электромагнетизма возможно лишь на основе уточнения исходных моделей, в частности, связанного с учетом запаздывания процессов, а также реальных характеристик эфира, его вязкости и сжимаемости.
2. В связи с тем, что исходными физическими инвариантами являются составляющие движения – материя, пространство и время, чему в механике соответствует система единиц МКС (метр, килограмм, секунда), система единиц МКСА (метр, килограмм, секунда, Ампер), принятая в электродинамике, оказывается избыточной и затрудняющей понимание физической сущности процессов электромагнетизма. На основании разработанных моделей электромагнетизма система МКСА преобразована в систему МКС.
3. Все известные электромагнитные явления можно интерпретировать с позиций газовой динамики эфира:
4. На основе эфиродинамических моделей электромагнитных явлений уточнены некоторые законы электромагнетизма, развиты уравнения электромагнитного поля, предсказаны и экспериментально проверены некоторые закономерности, не вытекающие из классических уравнений электромагнитного поля Максвелла, закона Фарадея электромагнитной индукции, закона полного тока и т.п. Предсказано и экспериментально подтверждено существование продольно распространяющегося вне зоны индукции электрического поля, показано влияние внешнего относительно измерительного контура магнитного поля, предсказано и экспериментально подтверждено уплотнение в пространстве магнитного поля, определены зависимости для взаимоиндукции проводников, которые подтверждены экспериментально и которые существенно отличаются от максвелловских зависимостей.
5. Разработанные модели электромагнитных явлений с привлечением представлений об эфире позволяют естественным образом избавиться от парадоксов электродинамики. Проведенные эксперименты подтвердили целесообразность уточнения функциональных зависимостей электромагнетизма и существование предсказанных явлений, в том числе зависимости наводимой ЭДС в рамке не только от внутреннего, но и от внешнего по отношению к ней магнитного поля, наличие взаимоиндукции проводников, существование продольного электромагнитного излучения и некоторых других.
Как показано в работе, все известные электромагнитные явления можно интерпретировать с позиций газовой динамики эфира, при этом оказалось возможным на базе всеобщих физических инвариантов – материи, пространства и времени модернизировать Международную систему единиц СИ и придать всем электромагнитным явлениям физический смысл газомеханических процессов, т. е. движений газоподобного эфира в пространстве.
На этой основе выяснилось, что электромагнитные величины приобретают следующую интерпретацию:
– диэлектрическая проницаемость вакуума как плотность эфира в вакууме;
– относительную диэлектрическую проницаемость как свойство вещества уплотнять подвижную часть эфира;
– магнитная проницаемость как величина, обратная предельному возможному значению удельной электрической энергии;
– относительную магнитную проницаемость – как свойство веществ увеличивать скорость потоков эфира за счет поворота доменов в материале.
– электрический заряд как циркуляция кольцевой скорости плотности эфира по всей поверхности винтового тороидального вихря – протона или электрона;
– полярность – как знак винтового движения эфира;
– электрическое поле как набор разомкнутых вихревых трубок эфира, в которых эфир вращается вокруг оси трубки и поступательно движется по оси трубки от заряда, а по периферии к заряду;
– магнитное поле можно интерпретировать как набор примыкающих друг к другу эфирных тороидов.
На базе эфиродинамических представлений о физической сущности электромагнитных явлений оказалось возможным разработать модели основных электромагнитных явлений, избавиться от парадоксов и уточнить некоторые законы электромагнетизма, развить уравнения электромагнитного поля, предсказать и экспериментально проверить некоторые новые закономерности, не вытекающие из классических уравнений электромагнитного поля Максвелла, закона Фарадея электромагнитной индукции, закона полного тока и т.п. В частности, предсказано и экспериментально подтверждено существование продольно распространяющегося вне зоны индукции электрического поля, рассмотрено влияние внешнего относительно измерительного контура магнитного поля на создаваемую в контуре э.д.с., предсказано и экспериментально подтверждено уплотнение в пространстве магнитного поля, введено представление о взаимоиндукции проводников, которые существенно отличаются от максвелловских зависимостей и которые подтверждены соответствующими экспериментами.
Проведенные эксперименты подтвердили правомерность уточнения функциональных зависимостей электромагнетизма и существование предсказанных явлений, в том числе зависимости наводимой в рамке э.д.с. не только от внутреннего, но и от внешнего по отношению к ней переменного магнитного поля, существование взаимоиндукции не только контуров, но и взаимоиндукции проводников, существование продольного электромагнитного излучения и некоторых других, а также позволили избавиться от некоторых теоретических парадоксов электродинамики.
Настоящая работа явилась попыткой продолжить развитие теории электромагнетизма на основе материалистической методологии, в частности, на основе концепции Декарта о «близкодействии» с использованием современных представлений об эфире и является звеном в эстафете развития кинетической теории материи, начало которой положено еще Л. Больцманом в конце 19-го столетия и продолженной рядом ученых, в том числе советских, в 20м веке. Это направление необходимо развивать и далее.
Изложенные в настоящее работе результаты ни в коем случае не должны рассматриваться как окончательные. Наоборот, это всего лишь постановка задачи по уточнению теоретических основ электромагнетизма, приглашение к новым физическим и теоретическим разработкам в области физических основ электромагнетизма. С сожалением следует констатировать, что работа над теоретическими основами электротехники была фактически приостановлена после того, как Максвеллом был издан «Трактат об электричестве и магнетизме». За более чем 130 лет со дня его появления ни физиками-теоретиками, было значительное развитие всевозможных прикладных методов, решены тысячи прикладных задач, но в фундаментальном теоретическом плане, тем более, в физическом понимании электромагнитных процессов не было сделано ничего.
Попытки некоторых исследователей что-либо изменить в этих уравнениях всегда оканчивались неудачей. Это дало основание Л.Больцману в своих примечаниях к переводу работы Максвелла «О физических силовых линиях» в 1898 г. написать [ 18, с.194]:
«Я мог бы сказать, что последователи Максвелла в этих уравнениях, пожалуй, ничего кроме букв не переменили. Однако это было бы слишком. Конечно, не тому следует удивляться, что к этим уравнениям вообще что-то могло бы быть добавлено, а гораздо более тому, как мало к ним было добавлено».
Сегодня, более ста тридцати лет спустя, это удивление Больцмана сохраняет свою силу: к уравнениям Максвелла практически не добавлено ничего, хотя за это время написаны сотни учебников по теоретическим основам электротехники, электродинамики и радиотехнике, решены тысячи прикладных задач, созданы разнообразнейшие устройства. Прикладные успехи теории электромагнетизма оказались столь значительными, что мало кому в голову приходит мысль о каких-либо ее недостатках. Тем не менее, недостатки у теории электромагнетизма имеются, и главным из них является полное непонимание сущности электромагнитных явлений, их внутреннего механизма.
Появление эфиродинамики – новой области теоретической физики впервые позволяет предпринять попытку по выявлению именно физической сущности электромагнитных явлений и через это понимание приступить к новому этапу развития физической теории электромагнетизма. Здесь непочатый край работы для физиков-теоретиков, электриковприкладников, энергетиков и прибористов. Легкого пути здесь нет, но и результаты могут оказаться значительными. Пожелаем им всем успехов в этом нелегком деле!
1. Энгельс Ф. Электричество// Диалектика природы. К.Маркс и Ф.Энгельс. Соч. 2е изд. М.: Госполитиздат, 1961. Т. 20. С. 433-485.
2. Максвелл Дж.К. О фарадеевых силовых линиях. Избранные сочинения по теории электромагнитного поля. М.: Гостехтеориздат, 1952. С. 9-88. См. там же примечания Больцмана, с. 89-106. Он же. О физических силовых линиях. Там же, с. 105-193.(Cм. там же примечания Больцмана, с. 190-248). Он же. Динамическая теория электромагнитного поля. Там же, с. 249-341.
3. Ленин В.И. Материализм и эмпириокритицизм. ПСС т. 18.
4.Ацюковский В.А. К положению в электродинамике. В кн. В.А.Ацюковский. Материализм и релятивизм. Критика методологии современной теоретической физики. К 100-летию выхода в свет книги В.И.Ленина «Материализм и релятивизм». М.: «Петит», 2009. С. 107-114. Он же. Электромагнитные явления. В кн. «Общая эфиродинамика. Моделирование структур вещества и полей на основе представлений о газоподобном эфире». М.: Энергоатомиздат, 2003. С. 297-409.
1. Мякишев Г.Я. Электричество. БСЭ, 3 изд. М., изд-во Советская энциклопедия, 1978. Т. 30, с. 48-49.
2. Бессонов Л.А. История развития электротехники и становление курса ТОЭ. Теоретические основы электротехники. Электромагнитное поле. 9-е изд. М.: Изд-во «Гардарики», 2001. С. 305-310.
3. Кудрявцев П.С. История физики. М.: Учпедгиз, 1956.
4. Льоцци М. История физики: Пер. с итал. Э.Л.Бурштейна. М.: Мир, 1970.
5. Фарадей М. Силы материи и их взаимоотношения. Публичные лекции: Пер. с англ. В.Лугинина/ Под ред. З.А.Цейтлина. М.: ГАИЗ, 1940. Он же. Экспериментальные исследования по электричеству: Пер. с англ./ Под ред. Т.П.Кравца. М.: Изд-во АН СССР, 1947-1959.
6. Гельмгольц Г. Два исследования по гидродинамике: Пер с нем./ Под ред. С.А.Чаплыгина. М.: Типография О.Л.Сомовой, 1902. Он же. Фарадеевская речь. Современное развитие фарадеевских воззрений на электричество: Пер. с нем. В.Тюрина. СПб.: Изд-во П.П.Сойкина. 1898.
7. Thomson W. Magnetism, dynamic relation of… Nicol’s Cyclopedia, 1860. Proc. of R.S. VI, 1856; VI, 1861. Он же. Ether, electricity and Ponderable Matter. Cambr. and Dubl. Papers, 484, 1890.Он же. On the duties of ether for electricity and magnetism. Phil. Mag. IX, 1900, 305.Он же. Electrical insulation in vacuum. Phil. Mag. VIII, 1904, 472. Он же. Hydrodynamic. Cambr. and Dubl. Math. and Phys. Papers. IV, 1910.
8. Challis. Phil. Mag. XII, 1860; I, II, 1861.
10. Heaviside O. Electromagnetic theory. Electrical papers. Vol. 1, 2. London - N.Y., 1892.
11. Joseph H.J. Some unpublished notes of Oliver Heaviside. The Heaviside centrary volume. London, 1950.
12. Кемпбелл Н.Р. Современная электрическая теория: Пер. с англ. / Под ред. И.И.Боргмана. Спб.: Изд-во «Образование», 1912.
13. Larmor J. Aether and Matter. Cambr. 1900.
14. Langevin P. Chim. et Phys. Mai 1905.
15. Abraham und Foppl. Theorie der Electrizitat. Leipzig, 1904-1905.
16. Drude P. Physik des Aethers auf elektromagnetisher Grundlage. 2-te Aufl. Stuttgart, 1912. Он же. Lehrbuch der Optik. 2-te erw. Aufl. Leipzig, 1906. Он же. Zur Elektronentheorie der Metalle. Ann. Phys. 1 (1900), s. 566; 3 (1900), s. 369.
17. Лоренц Г. Электронная теория. Спб.: Изд-во «Образование». 1910. Он же. Теория электронов и ее применение к явлениям светового и теплового излучения: Пер. с англ./ Под ред. А.К.Тимирязева и З.А.Цейтлина. М.: Гостехтеориздат, 1956.
18. Томсон Дж.Дж. Электричество и материя: Пер. с англ./ Под ред. А.К.Тимирязева. М.- Л.: Госиздат. 1928. С. 9–97. Он же. Взаимоотношения между материей и эфиром по новейшим исследованиям в области электричества: Пер. с англ./ Под ред. И.И.Боргмана. СПб.: Изд-во «Естествоиспытатель», 1910.
19. Кастерин Н.П. Обобщение основных уравнений аэродинамики и электродинамики. М.: Изд-во АН СССР, 1937.
20. Миткевич В.Ф. О природе электрического тока. Телеграф и телефон без проводов. № 15. Нижегородская лаборатория, 1922. С. 1–13.Он же. Работы В.Томсона. Электричество. № 3, 8, 10, 1930. Он же. Работы Фарадея и современное развитие приложений электрической энергии. М.: Гостехтеориздат, 1932. С 1–13. Он же. Основные воззрения современной физики. Л.: Изд-во АН СССР, 1933. Он же. Основные физические воззрения. – 3-е изд. М.: Изд-во АН СССР, 1939. Он же. Магнитный поток и его преобразования. М.: Изд-во АН СССР, 1946.
21. Maxwell J.C. A treatise on electricity and magnetism, v. 1 – 2. Oxf. 1873. В русском переводе Максвелл Дж.К. Трактат об электричестве и магнетизме. М.: Наука, 1989.
22. Герц Г. Избранные статьи. В сб. из предыстории радио. Под ред. Л.М.Мандельштама. М.-Л. 1948. Кляцкин И.Г. Генрих Герц. К 100-летию со дня рождения. «Электричество» № 3, 1957.
23. Родионов В.М. Попов А.С. БСЭ, 3 изд. М., изд-во Советская энциклопедия, 1975. Т. 20, с. 357-358..
24. Максвелл Дж.К. Об эфире. В сб. Дж.К.Максвелл. Статьи и речи.
25. Николаев Г.В. Непротиворечивая электродинамика. Теория, эксперименты, парадоксы. Томск: Изд-во НТЛ, 1997.
26. Рязанов Г.А. Опыт и моделирование при изучении электро-магнитного поля. М.:Наука, 1966. Он же. Электрическое моделирование с применением вихревых полей. М.:Наука, 1969.
27. Ацюковский В.А. Общая эфиродинамика. Эфиродинамическое моделирование структур вещества и полей на основе представлений о газоподобном эфире - 2-е изд.М., Энергоатомиздат, 2003.
28. Александров П.С., Пасынков Б.А. Размерность. БСЭ 3-е изд. т. 21 с. 421. М.: Изд-во «Советская энциклопедия», 1975.
29. Бурдун Г.Е. Единицы физических величин. М.: Стандартгиз, 1967. Он же. Справочник по Международной системе единиц. М.: Изд-во стандартов, 1971.
30. Широков К.П. Международная система единиц. БСЭ, 3-е изд., М.: Советская энциклопедия, 1974. Т. 15, с 595.
31. Яворский Б.М. и Детлаф А.А. Справочник по физике для инженеров и студентов ВУЗов. М.: «Наука», 1971. С. 892-909.
32. Ацюковский В.А. Всеобщие физические инварианты и предложения по модернизации Международной системы единиц СИ. М.: «Петит», 1004. Он же. Всеобщие физические инварианты и предложения по модернизации Международной системы единиц СИ. М.: «Петит», 2004. Он же. Модернизация Международной системы измерений СИ. Энергетика Сибири № 3 (8), 2006. С. 10-11.
33. Калантаров П.Л. и Нейман Л.Р. Теоретические основы электротехники. М.-Л. Госэнергоиздат, 1951. С. 23-27.
1. Ацюковский В.А. Общая эфиродинамика. Эфиродинамическое моделирование структур вещества и полей на основе представлений о газоподобном эфире - 2-е изд.М.: Энергоатомиздат, 2003.
2. Эфирный ветер. Сб. ст. под ред. д.т.н. Ацюковского В.А. М.: Энергоатомиздат, 1993.
3. Галаев Ю.М. Эффекты эфирного ветра в распространении радиоволн. Радиофизика и электроника. Т. 5, № 1. С. 119-132. Харьков. Изд-во Нац. Ак. Наук. Укр. 2000.
4. Миткевич В.Ф. Магнитный поток и его преобразования. М.-Л. ГТТИ, 1932.
5. Drude P. Physik des Aethers auf elektromagnetisher Grundlage. 2-te Aufl. Stuttgart, 1912. Он же. Lehrbuch der Optik. 2-te erw. Aufl. Leipzig, 1906. Он же. Zur Elektronentheorie der Metalle. Ann. Phys. 1 (1900), s. 566; 3 (1900), s. 369.
6. Лоренц Г. Электронная теория. Спб.: Изд-во «Образование». 1910. Он же. Теория электронов и ее применение к явлениям светового и теплового излучения: Пер. с англ./ Под ред. А.К.Тимирязева и З.А.Цейтлина. М.: Гостехтеориздат, 1956.
1. Ацюковский В.А. Электромагнитные явления. В кн. Общая эфиродинамика. Моделирование структур вещества и полей на основе представлений о газоподобном эфире. М.: Энергоатомиздат, 2003. С. 297-409.
2. Динамическая метеорология // Под ред. Б.И.Извекова, И.А.Кибеля, Н.Е.Кочина. Л.: Изд-во Центр. упр. единой гидромет. службы СССР, 1935.
3. Вилля А. Теория вихрей: Пер. с франц. П.М.Гуменского. М.– Л.: ОНТИ, 1936.
4. Абрамович Т.Н. Турбулентные свободные струи жидкоcтей и газов// Труды ЦАГИ, 1940. № 512.
5. Бюшгенс О.С. О винтовом потоке// Научные записки Московского гидромелиоративного ин-та им. Вильямса. Т. XVII. М., 1948.
6. Гельмгольц Г. Два исследования по гидродинамике. Пер. с нем./ Под ред. С.А.Чаплыгина. М.: Типография О.Л.Сомовой, 1902. Он же. О сохранении силы. М. – Л.: Госиздат, 1934.
1. Ацюковский В.А. Взаимоиндукция проводников. «Энергетика Сибири» №3 (8), 2006. С. 12-13. Он же. Еще раз о взаимоиндукции проводников. «Разработки в элетронике» № 4(16) 2006. С. 24-26.
2. Калантаров П.Л., Нейман Л.Р. Теоретические основы электротехники. М.-Л.: Госэнергоиздат. 1961.
1. Мигулин В.В. Электромагнитные волны. БСЭ, 3 изд. М., изд-во Советская энциклопедия, 1978. Т. 30, с. 48-49.
2. Яворский Б.М. и Детлаф А.А. Справочник по физике для инженеров и студентов ВУЗов. М.: «Наука», 1971. С. 483 и д.
В современных энергетических, промышленных и подвижных объектах широко используются разнообразные проводные информационные сети, от состояния которых зависит работоспособность самих объектов. Особое значение при этом имеет помехоустойчивость информации, транслируемой по этим сетям. Как показали исследования, основным источником помех для таких сетей являются силовые энергетические провода, особенно те, через которые включается разнообразная коммутационная аппаратура: в момент выключения обмоток реле и контакторов в таких проводах возникают электрические импульсы, достигающие сотен вольт, которые через электрическую и магнитную взаимоиндукцию проникают в информационные сети и искажают информацию. При этом энергетическим проводом реально является любой провод, хотя бы одним концом соединенный с источником силового напряжения.
Проблема особенно обострилась в связи с все более широким применением на объектах цифровой техники, восприимчивой к импульсным помехам.
Обычным способом ослабить наводимые помехи является разнесение проводов и применение экранированных проводов. Но разнести провода в конкретных системах, тем более на подвижных объектах (самолетах, кораблях), не всегда удается, энергетические и информационные провода приходится укладывать в общие каналы, а экранировка частично защищает от проникновения электродинамической составляющей, но не защищает от проникновения электромагнитной составляющей, величиной которой пренебречь, как правило, тоже нельзя. Обычный экран выполнен из медных проводников, и он плохо экранирует электромагнитную помеху. Поэтому здесь нужны иные меры.
Как показано в работе [1], а также в настоящей работе (Глава 5, раздел «Взаимоиндукция проводников»), допустимо рассматривать взаимосвязь не между контурами, как это вытекает из уравнений Максвелла и закона Фарадея, а между проводами, при этом следует различать электродинамическую помеху и помеху электромагнитную. Первая связана с изменением величины электрическогон апряжения в первичном энергетическом проводе, она существует даже тогда, когда ток в первичном проводе пренебрежимо мал; вторая связана с изменением величины электрического тока в первичном проводе, она существует даже тогда, когда в первичном проводе напряжение пренебрежимо мало. Электродинамическая помеха проникает благодаря распространению вокруг энергетического провода электрического поля (электрической индукции) через взаимную емкость (рис.1) [2, c. 163-165], электромагнитная помеха проникает благодаря распространению вокруг энергетического провода магнитного поля (магнитной индукции) через взаимную индуктивность (рис. 2) [2, c. 161-163]. Соответственно и меры борьбы с ними разные.
В первом приближении значение наведенной электродинамической помехи определится выражением:
где С – погонная емкость провода (емкость одного метра провода на окружающие проводники), С1 – погонная взаимная емкость провода, создающего помеху и провода, воспринимающего ее, zн – сопротивление нагрузки линии, zв – волновое сопротивление линии связи.
Данное выражение справедливо только для неэкранированных проводов. Если информационные провода экранированы и экраны заземлены с обоих концов во всех разрывах цепи, например, в разъемах или переходных колодках, то помеха отводится на землю при условии, однако, что индуктивным сопротивлением заземления можно пренебречь. Не следует забывать, что индуктивность одного метра провода в среднем колеблется от 0,5 до 2 мкГн/м. Поскольку импульсное напряжение при коммутациях первичной цепи может достигать сотен вольт при длительности импульсов от долей до десятков микросекунд, целесообразно информационные провода, особенно лежащие в общих с энергетическими проводами жгутах, выполнять экранированными, обращая при этом внимание на качество заземления экранов.. Следует также отметить, что, как выяснено, другие провода, находящиеся в тех же жгутах, помеху не экранируют, а наоборот, способствуют ее проникновению.
Проникновение электромагнитной помехи от энергетического провода в информационные провода осуществляется через взаимную индуктивную связь (рис. 2).
Напряжение электромагнитной помехи определяется выражением:
где М – коэффициент взаимоиндукции энергетического провода, создающего помеху и информационного провода, ее воспринимающего. Для синусоидального тока
Измеренные для ряда авиационных бортовых проводов значения коэффициента связи kм составляют:
– для проводов типа БПВЛ сечением от 0,35 до 1 мм2 kм = (5,65 ÷ 5,25) ·10–6 В·с·А–1·м–1;
– для пары проводов типа БПВЛ-БПВЛЭ тех же сечений kм = (4,5 ÷ 4) ·10–6 В·с·А–1·м–1;
– для пары проводов типа БПВЛЭ тех же сечений kм = (3,8 ÷ 3,5) ·10–6 В·с·А–1·м–1.
Для проводов других сечений величина kм может быть определена из выражения
где d, см – расстояние между осями энергетического и информационного проводов, D1 и D2 – их внешние диаметры, включая изоляцию.
На рис. 3 приведены измеренные значения напряжения помехи, возникающие на вторичном проводе при различных частотах тока в первичном проводе [2, с. 166].
Так, при частоте в 400 Гц длине провода в 20 м, сечении экранированных проводов БПВЛЭ 0,35 мм2 значение наведенной помехи составит 30,3 мВ, что для синусно-косинусных трансформаторов даст дополнительную погрешность измерения угла поворота вала в 12 угловых минут, это существенно больше, чем собственная погрешность преобразователя. Для тех же условий, но при импульсной помехе и эквивалентной частоте в 1 мГц величина наведенной помехи в неэкранированных проводах составит порядка 600÷800 В, в экранированных значительно меньше, всего несколько вольт, но тоже достаточных для сбоя транслируемой цифровой информации.
Существует ошибочное мнение, что помеху можно уменьшить путем нагрузки вторичного провода на относительно малое сопротивление, однако это не так. На рис.4 приведены зависимости изменения напряжения помехи от величины нагрузки на вторичном проводе. Как видно, значение помехи практически не зависит от нагрузки вплоть до единиц Ом. Таким способом избавиться от помехи нельзя.
Не исключая известных способов уменьшения импульсных помех путем шунтирования всех переключаемых индуктивностей резисторами, диодами и цепочками LC и RC, следует отметить, что практически единственным способом избавления от электромагнитной и от остатков электродинамической помех является передача и прием информации дифференциальным способом по бифилярной линии (рис. 5, 6).
При этом следует учитывать, что бифилярной линией является скрученная пара проводов, по которым в каждый момент времени транслируются токи одинаковой величины и противоположные по направлению. Это выполняется автоматически, если сигнал в оба провода генерируется одним источником и оба выхода его на оба провода одинаковы. Любое нарушение симметрии выходов генератора, проводов линии связи или входов приемника нарушает бифилярность и делает канал связи восприимчивым к внешним электромагнитным помехам
Передача цифровой и аналоговой информации производится скрученной парой проводов, помещенной в общий экран, заземленный во всех местах разрыва. Шаг скрутки – 2-3 см, скрутка необходима для симметрирования наведенной помехи. Существующие выходные формирователи обеспечивают амплитуду импульсов 5±0,5 В, допустимое сопротивление нагрузки 400 Ом, сопротивление входа приемников не менее 40 кОм, т.е один формирователь обеспечивает до ста приемников. Гальванической развязки приемников здесь нет, она и не требуется.
При этом учтено то обстоятельство, что пропускная способность подобной бифилярной линии связи, не согласованной с нагрузкой (не имеющей на концах низкоомных согласующих резисторов), при любом сечении проводов и при трапецеидальной форме импульсов с применением проводов любого сечения составляет порядка 50 Мбит·м/с. При средней длине провода в 10 м (на тяжелых самолетах) пропускная способность бифилярной линии связи составляет 5 Мбит/с, в то время как информационное содержание всей совокупности сигналов пилотажнонавигационного комплекса составляет не более 1 Кбит/с. Это позволяет использовать поочередную передачу последовательных кодов с применением относительно низких частот трансляции из ряда 12,5; 50; 100; 250; 500; 1000 Кбит/с. Предпочтительной частотой является 100 Кбит/с, которая и зафиксирована как основная в перспективных летательных аппаратах. Передача производится так называемым RZ-кодом («return to zero»), в котором каждый бит («1» или «0») представлен отдельным импульсом соответственно положительной или отрицательной полярности с паузой между импульсами. Передача и прием импульсов осуществляется дифференциальным способом, что исключает влияние помех на качество принимаемой информации.
Информация передается циклически с частотой, определяемой динамикой транслируемых параметров, на входе приемников осуществляется контроль информации по ряду признаков (контроль цикличности поступления, контроль по количеству единиц в слове и т.д.). Передача каких-либо вирусов по такой связи от одной системы к другой принципиально невозможна.
Разумеется, это не касается отдельных линий связи, в которых транслируются крупные массивы информации, но таких линий связи, как правило, немного, и к ним должен быть другой подход.
Применительно к авиационному бортовому оборудованию этот способ передачи информации, обеспечивший ей высокую помехозащищенность, был разработан в СССР [3-5], впервые применен на самолете Су-27, затем был внедрен на всех типах самолетов и вертолетов гражданской и военной авиации, а затем нашел широкое применение в авиации всего мира [6]. Как при испытаниях на стендах [7], так и за все время (более 30 лет) эксплуатации авиации с бортовым цифровым оборудованием по линиям связи не было зафиксировано ни одного сбоя информации. В цитируемой литературе [5] приведены все необходимые для реализации данного способа связи технические подробности. Некоторые рекомендации по общей организации систем электронного оборудовния применительно к подвижным объектам даны в работе [8].
Можно надеяться, что описанный способ передачи информации, столь хорошо зарекомендовавший себя в авиации, может оказаться полезным и в других информационно-измерительных и управляющих комплексах оборудования, используемых в энергетических, промышленных и транспортных объектах.
1. Ацюковский В.А. Взаимоиндукция проводников. Энергетика Сибири. № 3 (8), июнь 2006. С. 26-27.
2. Ацюковский В.А. Построение систем связей комплексов оборудования летательных аппаратов. М.: Машиностроение, 1976.
3. Ацюковский В.А. Философия и методология технического комплексирования. РАЕН. М.: «Петит», 2005.
4. Ацюковский В.А., Бобров В.Г., Невдяева А.Л., Сойников Г.Ф., Шмелев В.И. Основы организации цифровых связей в сложных информационно-измерительных комплексах М.: Энергоатом-издат, 2001.
5. ГОСТ 18977-73, ГОСТ 18977-79. Комплексы бортового оборудования самолетов и вертолетов. Типы функциональных связей. Виды и уровни электрических сигналов. М.: Изд-во стандартов, 1980.
6. РТМ 1495-75. Руководящий технический материал авиационной техники. Обмен информацией двуполярным кодом в оборудовании летательных аппаратов. М.: НИИСУ, 1975.
7. ARINC-429. Multi-Transmitter Data Bus. AEEC, 1985.
8. ГОСТ 26807-86. Аппаратура бортовая цифровая самолетов и вертолетов. Методы стендовых испытаний на работоспособность в условиях электромагнитных воздействий. М.: Изд-во стандартов, 1986.

Автор — Ацюковский Владимир Акимович — доктор технических наук, академик Российской академии естественных наук, Российской академии космонавтики им. К.Э.Циолковского, почетный академик Российской академии электротехнических наук. На основе эфиродинамических представлений о сущности электромагнитных явлений автором предпринята попытка осознания физической сущности электромагнитных явлений, на основе чего уточнены некоторые положения теории электромагнетизма. Эти уточнения были подтверждены результатами экспериментов в лабораторных и натурных условиях.
РОССИЙСКАЯ АКАДЕМИЯ ЕСТЕСТВЕННЫХ НАУК
СЕКЦИЯ НООСФЕРНЫХ ЗНАНИЙ И ТЕХНОЛОГИЙ
В.А.Ацюковский
Эфиродинамические основы электромагнетизма
Теория, эксперименты, внедрение
Энергоатомиздат
МОСКВА
2011 г.
ноябрь 2020 г. по PDF в открытом доступе.
